Fig. 8

Download original image
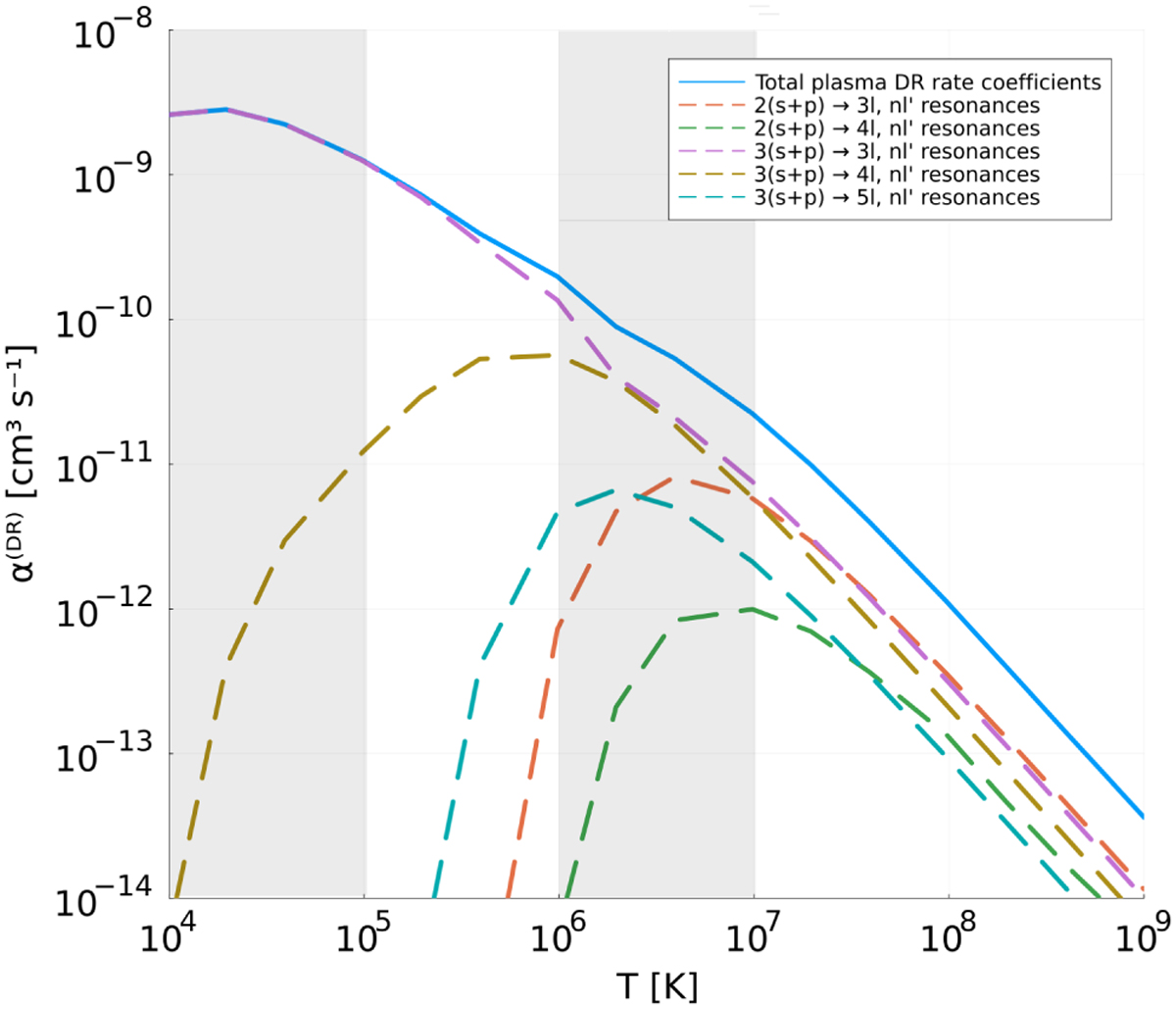
Total (thick blue line) and partial (dashed lines) DR plasma rate coefficients for initially aluminum-like Fe13+ ions. Each partial rate coefficient is associated with a different resonance, respectively: 2(s + p) → 3l′ (orange line), 2(s + p) → 4l (light green line), 3s → 3l (purple line), 3s → 4l (golden line) and 3s → 5l (dark green line). The two dark areas between 104 and 105 K and between 106 and 107 K indicate the photoionized and collisionally ionized plasma regions, respectively.
Current usage metrics show cumulative count of Article Views (full-text article views including HTML views, PDF and ePub downloads, according to the available data) and Abstracts Views on Vision4Press platform.
Data correspond to usage on the plateform after 2015. The current usage metrics is available 48-96 hours after online publication and is updated daily on week days.
Initial download of the metrics may take a while.