Fig. 3.

Download original image
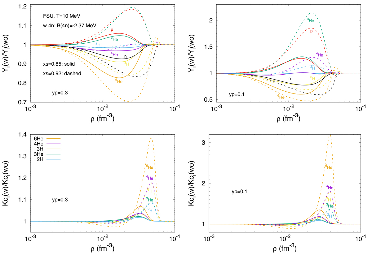
Ratio of the mass fractions of the clusters and of the gas (top panels) with (Yi(w)) and without (Yi(wo)) the tetraneutron, for a fixed proton fraction of yp = 0.3 (left), and yp = 0.1 (right), in a calculation where we consider a fixed binding energy for the 4n, taken as B0(4n) = − 2.37 MeV. In the bottom panels, the chemical equilibrium constants, Kc[i], in a calculation with (w) and without (wo) the tetraneutron, are shown in the same conditions as the top panels. In all panels, the temperature is fixed to 10 MeV, the FSU EoS is considered, and the scalar cluster–meson coupling is taken as xs = 0.85 (solid) and xs = 0.92 (dashed). We highlight the different y-axis scales.
Current usage metrics show cumulative count of Article Views (full-text article views including HTML views, PDF and ePub downloads, according to the available data) and Abstracts Views on Vision4Press platform.
Data correspond to usage on the plateform after 2015. The current usage metrics is available 48-96 hours after online publication and is updated daily on week days.
Initial download of the metrics may take a while.