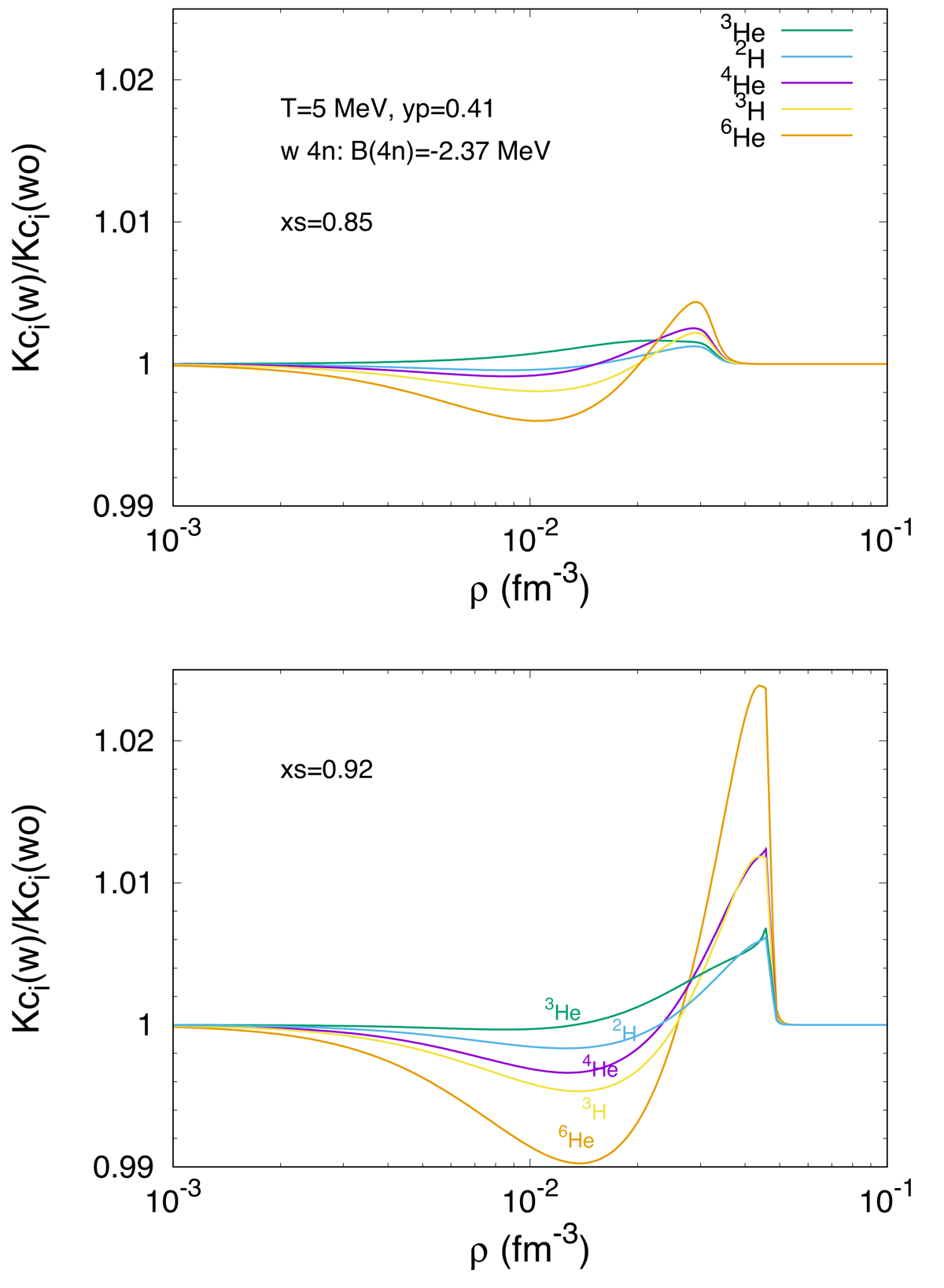
Fig. 6.

Download original image
Ratio between the chemical equilibrium constants with and without the tetraneutron, Kc[i], as a function of density. In the calculation with 4n, we take its binding energy as MeV. The FSU EoS is considered, and the scalar cluster–meson coupling is fixed to xs = 0.85 (top) and xs = 0.92 (bottom). We fix the proton fraction to yp = 0.41 and the temperature to 5 MeV.
Current usage metrics show cumulative count of Article Views (full-text article views including HTML views, PDF and ePub downloads, according to the available data) and Abstracts Views on Vision4Press platform.
Data correspond to usage on the plateform after 2015. The current usage metrics is available 48-96 hours after online publication and is updated daily on week days.
Initial download of the metrics may take a while.