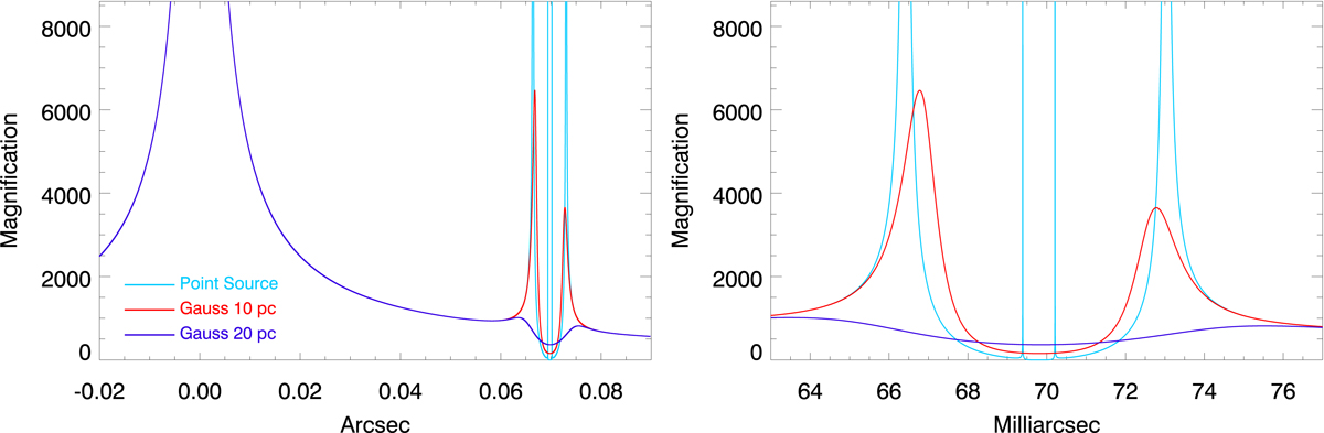
Fig. 15.

Download original image
Simulated magnification across the arc in the lens plane. The critical curve is at the origin. A perturber with 104 M⊙ is placed ≈007 from the critical curve. Colors show three assumptions perturber profiles: light blue for a point source, dark blue for a Gaussian profile with σ = 10 pc and red for a Gaussian profile with σ = 20 pc. Left panel shows a wide range, and the right panel is a magnified version around the perturber.
Current usage metrics show cumulative count of Article Views (full-text article views including HTML views, PDF and ePub downloads, according to the available data) and Abstracts Views on Vision4Press platform.
Data correspond to usage on the plateform after 2015. The current usage metrics is available 48-96 hours after online publication and is updated daily on week days.
Initial download of the metrics may take a while.