Open Access
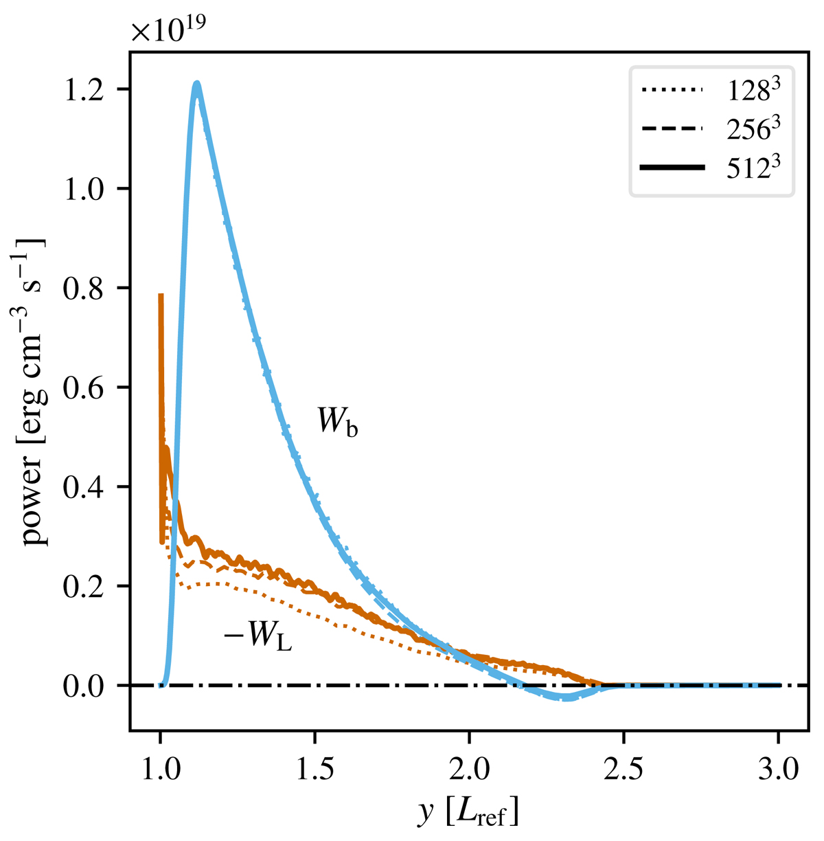
Fig. 16.

Download original image
Vertical profiles of the buoyancy (light blue) and Lorentz work (vermilion) averaged over t ∈ (15τconv, 25τconv) for the indicated grid resolutions.
Current usage metrics show cumulative count of Article Views (full-text article views including HTML views, PDF and ePub downloads, according to the available data) and Abstracts Views on Vision4Press platform.
Data correspond to usage on the plateform after 2015. The current usage metrics is available 48-96 hours after online publication and is updated daily on week days.
Initial download of the metrics may take a while.