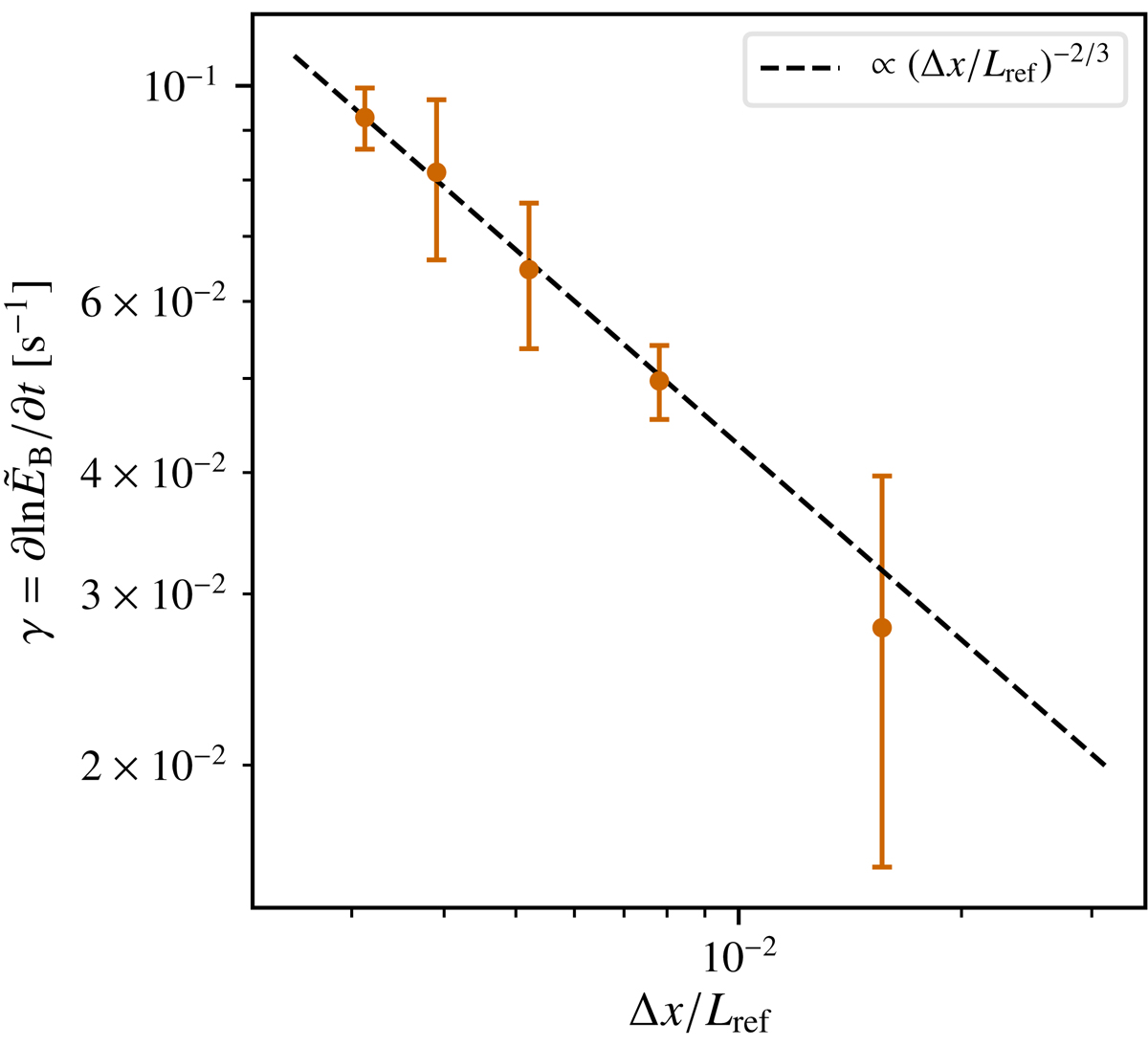
Fig. 5.

Download original image
Growth rate of the mean magnetic energy inside the convection zone (averaged over the kinematic phase of the dynamo) as a function of the grid spacing, Δx. For this analysis, we also simulated the kinematic phase of the dynamo on grids with 3843 and 6403 cells (Δx/Lref = 5.2 × 10−3, and Δx/Lref = 3.1 × 10−3, respectively). Error bars represent three standard deviations, computed over the time series. The expected theoretical scaling for SSD amplification (γ ∝ Re1/2 ∝ Δx−2/3) is represented by the black dashed line.
Current usage metrics show cumulative count of Article Views (full-text article views including HTML views, PDF and ePub downloads, according to the available data) and Abstracts Views on Vision4Press platform.
Data correspond to usage on the plateform after 2015. The current usage metrics is available 48-96 hours after online publication and is updated daily on week days.
Initial download of the metrics may take a while.