Fig. 9.

Download original image
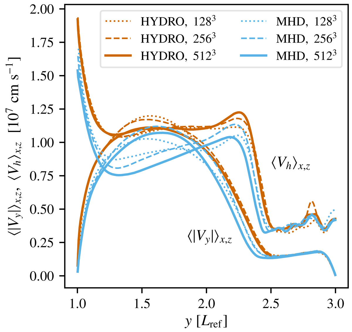
Vertical profiles of the horizontal () and vertical (Vy) velocity components averaged over t ∈ (15τconv, 25τconv). Here, light blue is used to indicate the quantities extracted from the MHD simulations, whereas vermilion is used for the hydrodynamic simulations. An estimate of the statistical uncertainty associated to the averaged profiles can be inferred by looking at the typical dispersion among the hydrodynamic simulations, which represent a set of three independent (and numerically converged) realizations of the oxygen shell.
Current usage metrics show cumulative count of Article Views (full-text article views including HTML views, PDF and ePub downloads, according to the available data) and Abstracts Views on Vision4Press platform.
Data correspond to usage on the plateform after 2015. The current usage metrics is available 48-96 hours after online publication and is updated daily on week days.
Initial download of the metrics may take a while.