Fig. 3

Download original image
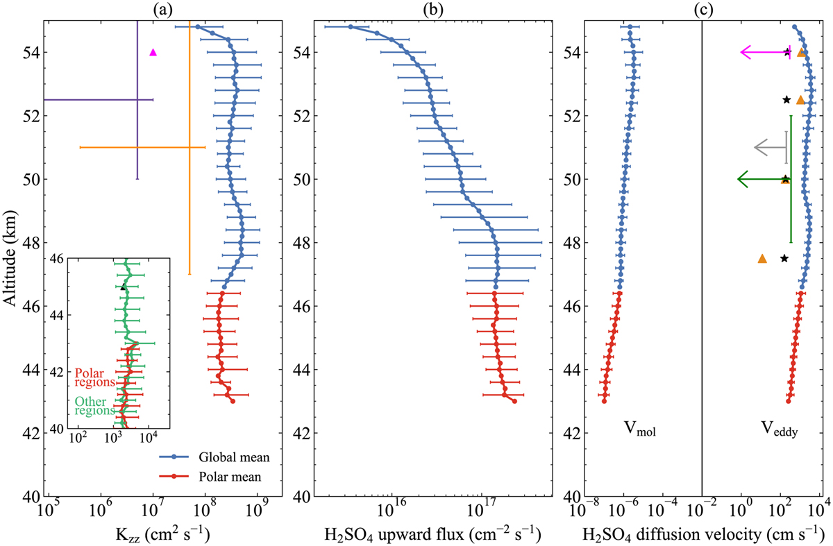
Global mean results. (a) The derived global mean Kzz by adopting LCPS particle distributions. The blue line represents the median value along with the upper and lower quartiles. The derived Kzz profile below 46.5 km is distinguished in red since it is basically constituted of data from the polar regions and better considered as the “polar mean.” The bottom-left subplot displays the Kzz below the clouds, which is based on the given column production of H2SO4 vapor. The red line represents the below-cloud Kzz estimated in polar regions and the green line represents the other regions. The estimations based on Vega balloon observations (fuchsia, Blamont et al. 1986), Pioneer Venus radio scintillation measurements (black, Woo et al. 1982), and model results of McGouldrick & Toon (2007, purple) and Lefèvre et al. (2022, orange) are also presented. (b) The distribution of H2SO4 vapor upward diffusion flux. (c) The derived H2SO4 vertical molecular (left) and eddy (right) diffusion velocities as functions of altitude. The observations of atmospheric convection velocities from Vega balloons (fuchsia, Linkin et al. 1986), as well as model estimations of Imamura et al. (2014, green), Lefèvre et al. (2018, gray), and Gierasch et al. (1997, orange triangles for the Hadley velocity and black stars for the convective velocity) are also presented.
Current usage metrics show cumulative count of Article Views (full-text article views including HTML views, PDF and ePub downloads, according to the available data) and Abstracts Views on Vision4Press platform.
Data correspond to usage on the plateform after 2015. The current usage metrics is available 48-96 hours after online publication and is updated daily on week days.
Initial download of the metrics may take a while.