Open Access
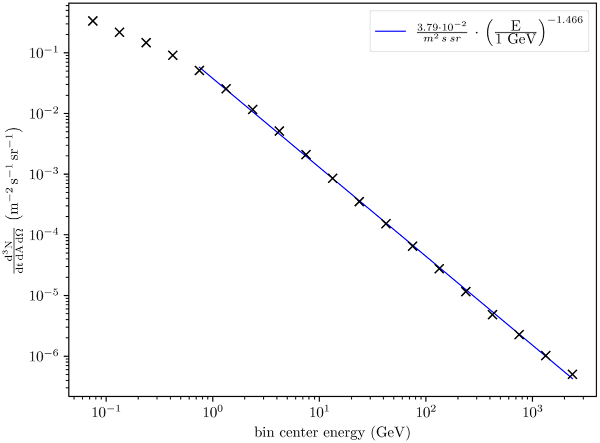
Fig. 1

Download original image
Sky-averaged estimate of Iij on log-log scale based on the exposure- and effective-area-corrected photon count map. Because we show fluxes integrated over logarithmically equidistant energy bins, spectral index values are offset by +1 with respect to un-integrated energy spectra (see Eqs. (3) and (4) for details).
Current usage metrics show cumulative count of Article Views (full-text article views including HTML views, PDF and ePub downloads, according to the available data) and Abstracts Views on Vision4Press platform.
Data correspond to usage on the plateform after 2015. The current usage metrics is available 48-96 hours after online publication and is updated daily on week days.
Initial download of the metrics may take a while.