Fig. A.1

Download original image
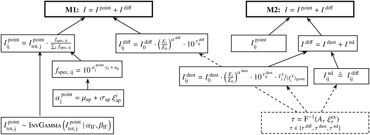
Structure of the main generative hierarchical Bayesian models used in the inference. The initial, abstract, and Gaussian-distributed degrees of freedom, ξ, are mostly left out for the sake of clarity. The dashed component indicates a set of instances of the Gaussian correlated field model introduced by Arras et al. (2021, Sect. 3.4). Left: Template-free model M1 with diffuse and point-like fluxes Idiff and Ipolπt. Right: Template-informed model M2 with the additional template-informed diffuse flux component I dust. Ind is identical in construction to I dlff, but has different prior parameter values. is defined identically in both models.
Current usage metrics show cumulative count of Article Views (full-text article views including HTML views, PDF and ePub downloads, according to the available data) and Abstracts Views on Vision4Press platform.
Data correspond to usage on the plateform after 2015. The current usage metrics is available 48-96 hours after online publication and is updated daily on week days.
Initial download of the metrics may take a while.