Fig. 13.

Download original image
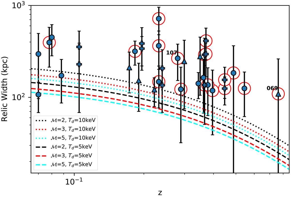
Median relic width vs. redshift. The error bars correspond to the standard deviation of the relic widths measured. Triangles denote candidate relics and plusses those relics which are part of a double relic pair. All other relics are plotted as circles. Red circles surround relics in clusters which also host a RH. The dashed and dotted lines show the largest expected relic width from Kang et al. (2017) for different shock properties. PSZ2 G069.39+68.05 and PSZ2 G107.10+65.32 are labelled, with the labels above and left of the data points.
Current usage metrics show cumulative count of Article Views (full-text article views including HTML views, PDF and ePub downloads, according to the available data) and Abstracts Views on Vision4Press platform.
Data correspond to usage on the plateform after 2015. The current usage metrics is available 48-96 hours after online publication and is updated daily on week days.
Initial download of the metrics may take a while.