Fig. C.1

Download original image
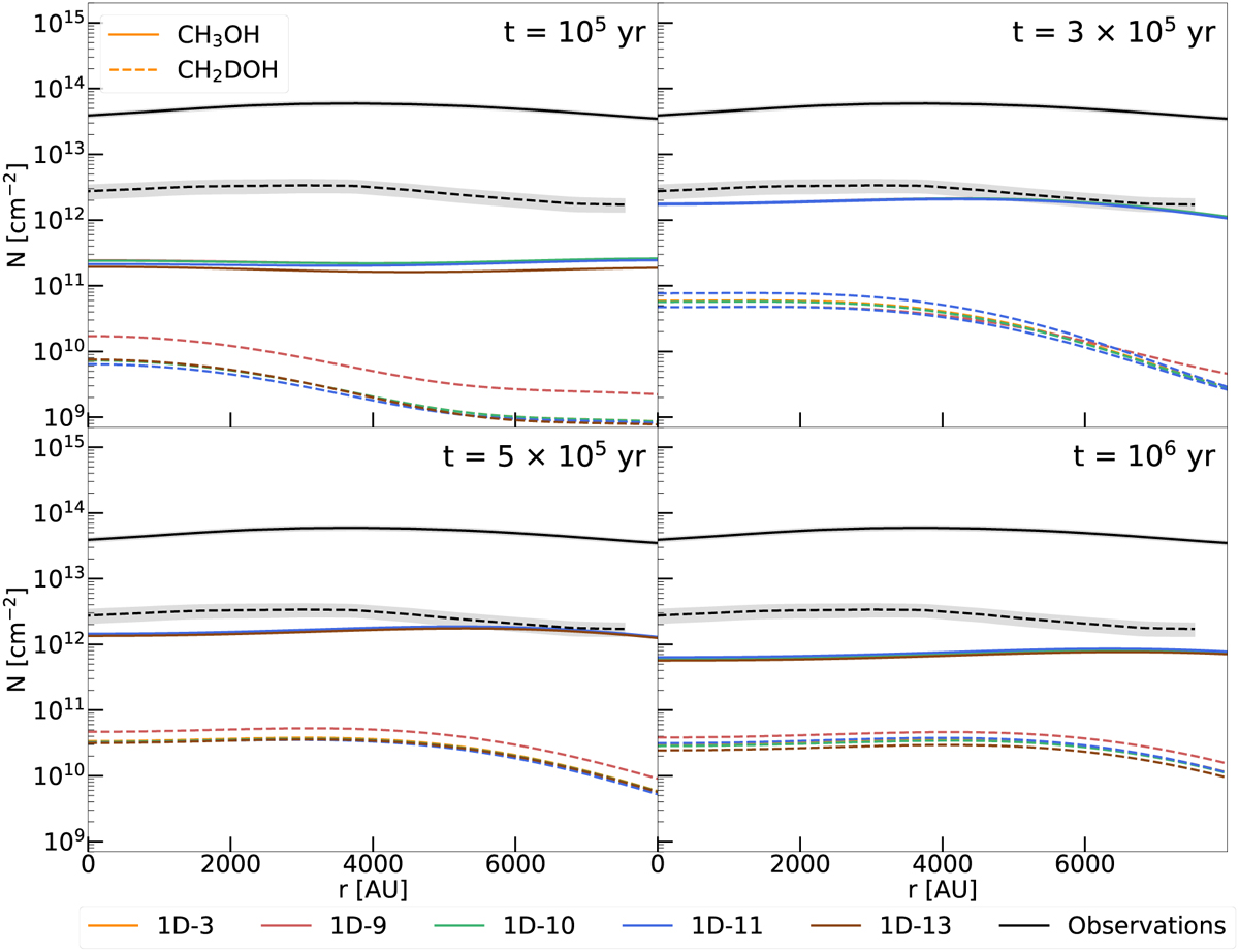
Modelled column density profiles of non-deuterated methanol (CH3OH) and singly deuterated methanol (CH2DOH) for several models at four different time steps ranging from 105yr to 106yr. The black lines show the observed profiles (errors as grey-shaded areas). The solid lines indicate the CH3OH column densities, and the dashed lines indicate the CH2DOH column densities.
Current usage metrics show cumulative count of Article Views (full-text article views including HTML views, PDF and ePub downloads, according to the available data) and Abstracts Views on Vision4Press platform.
Data correspond to usage on the plateform after 2015. The current usage metrics is available 48-96 hours after online publication and is updated daily on week days.
Initial download of the metrics may take a while.