Open Access
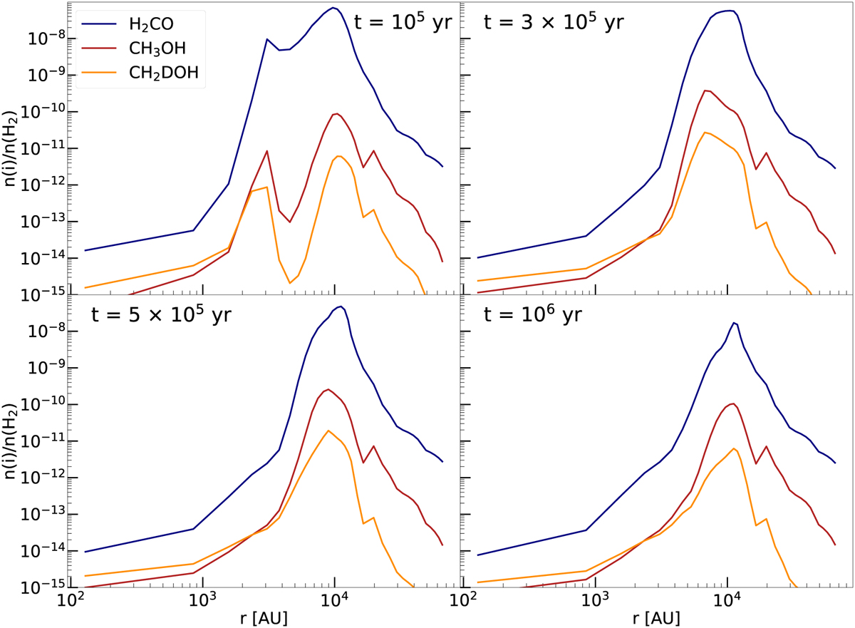
Fig. 3

Download original image
Gas-phase abundance profiles of H2CO, CH3OH, and CH2DOH for the 1D-4 model for four different time steps ranging from 105 yr (left) to 106 yr (right). The best-fit time is t = 3 × 105 yr.
Current usage metrics show cumulative count of Article Views (full-text article views including HTML views, PDF and ePub downloads, according to the available data) and Abstracts Views on Vision4Press platform.
Data correspond to usage on the plateform after 2015. The current usage metrics is available 48-96 hours after online publication and is updated daily on week days.
Initial download of the metrics may take a while.