Open Access
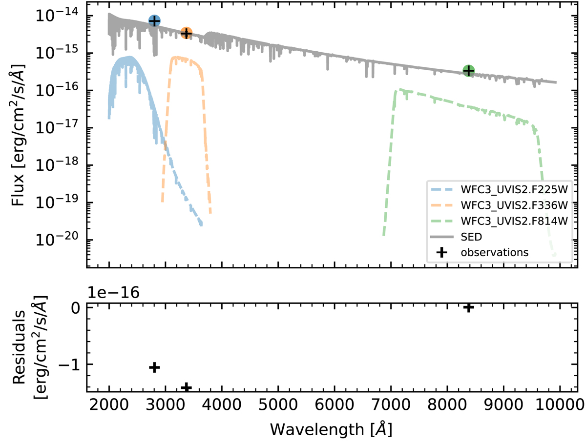
Fig. 3.

Download original image
Photometric fit for star #654. The top panel shows a comparison between the observed HST fluxes (black crosses) and the flux (colored circles) computed from the best-fit model (gray line) by convolution with the HST filters (colored lines). The bottom panel gives residuals.
Current usage metrics show cumulative count of Article Views (full-text article views including HTML views, PDF and ePub downloads, according to the available data) and Abstracts Views on Vision4Press platform.
Data correspond to usage on the plateform after 2015. The current usage metrics is available 48-96 hours after online publication and is updated daily on week days.
Initial download of the metrics may take a while.