Open Access
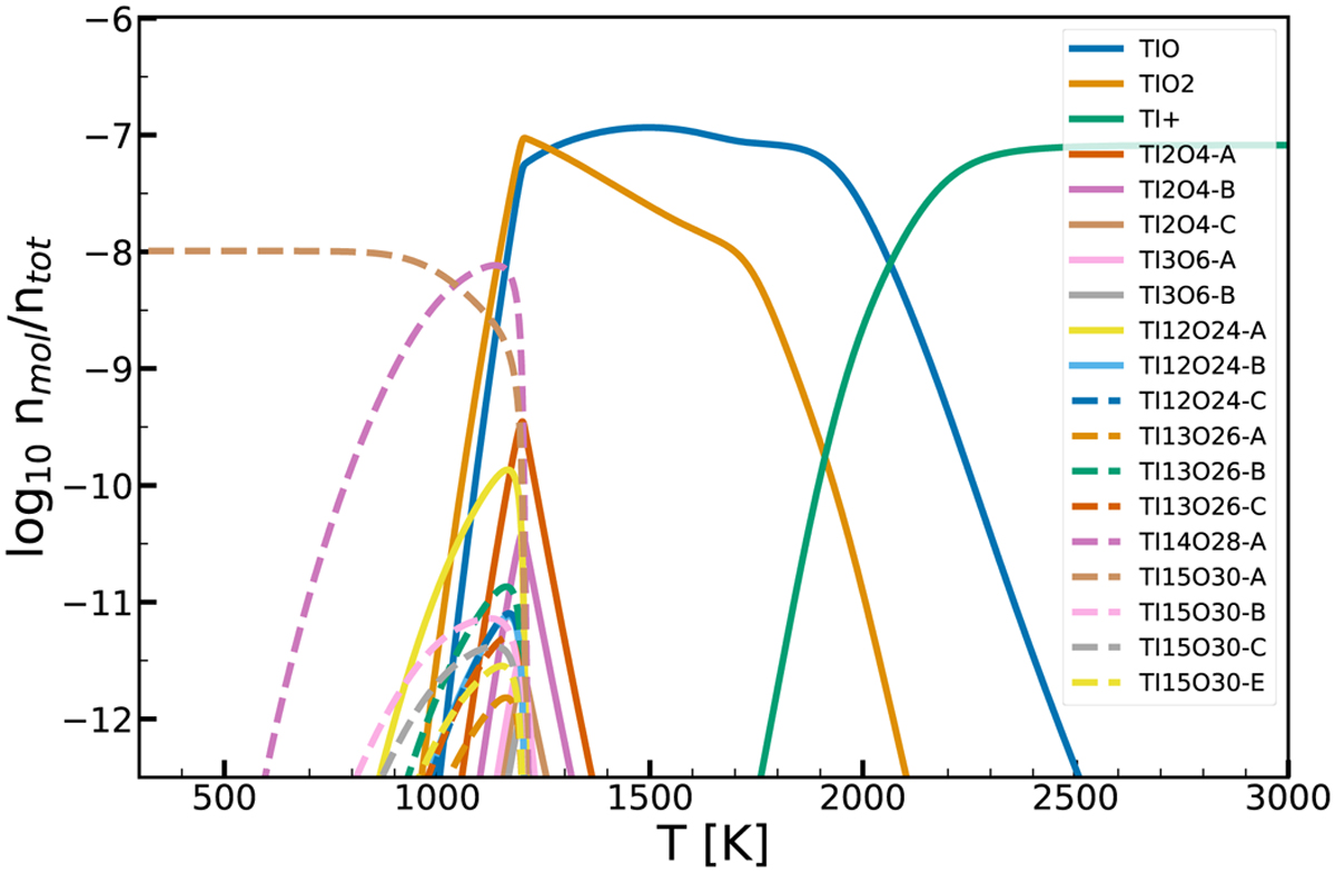
Fig. 6

Download original image
Concentration of Ti-bearing gas-phase species across a temperature range of 300–3000 K. Letters after cluster names indicate different isomers, with -A being the energetically most favourable (GM) isomer. Only species that reach a concentration of are shown.
Current usage metrics show cumulative count of Article Views (full-text article views including HTML views, PDF and ePub downloads, according to the available data) and Abstracts Views on Vision4Press platform.
Data correspond to usage on the plateform after 2015. The current usage metrics is available 48-96 hours after online publication and is updated daily on week days.
Initial download of the metrics may take a while.