Open Access
Fig. 10.

Download original image
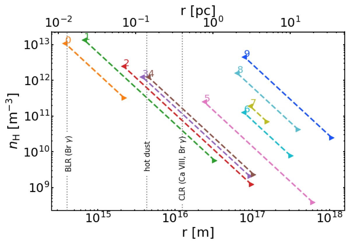
Ten WAs for NGC 3783 used to predict the detectable distance range with the tpho-delay method (shown as a coloured dashed line). The vertical dashed lines show the main components of the structure measured by GRAVITY Collaboration (2021).
Current usage metrics show cumulative count of Article Views (full-text article views including HTML views, PDF and ePub downloads, according to the available data) and Abstracts Views on Vision4Press platform.
Data correspond to usage on the plateform after 2015. The current usage metrics is available 48-96 hours after online publication and is updated daily on week days.
Initial download of the metrics may take a while.