Fig. 2

Download original image
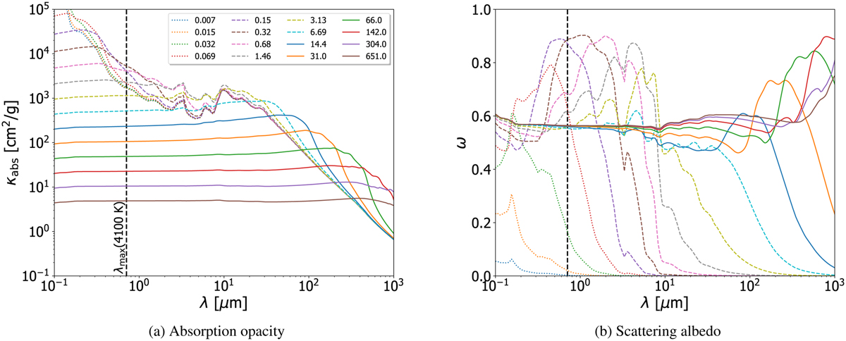
Absorption opacity and scattering albedo profiles for the 16 bin sizes in model M16. The dotted, dashed, and solid lines represent the small, intermediate, and large grains, respectively. The dashed vertical black line indicates the wavelength λmax at which the star radiates according to Wien’s law. The grain sizes are indicated in µm. We refer to Table 4 for a description of the bin sizes.
Current usage metrics show cumulative count of Article Views (full-text article views including HTML views, PDF and ePub downloads, according to the available data) and Abstracts Views on Vision4Press platform.
Data correspond to usage on the plateform after 2015. The current usage metrics is available 48-96 hours after online publication and is updated daily on week days.
Initial download of the metrics may take a while.