Fig. 6

Download original image
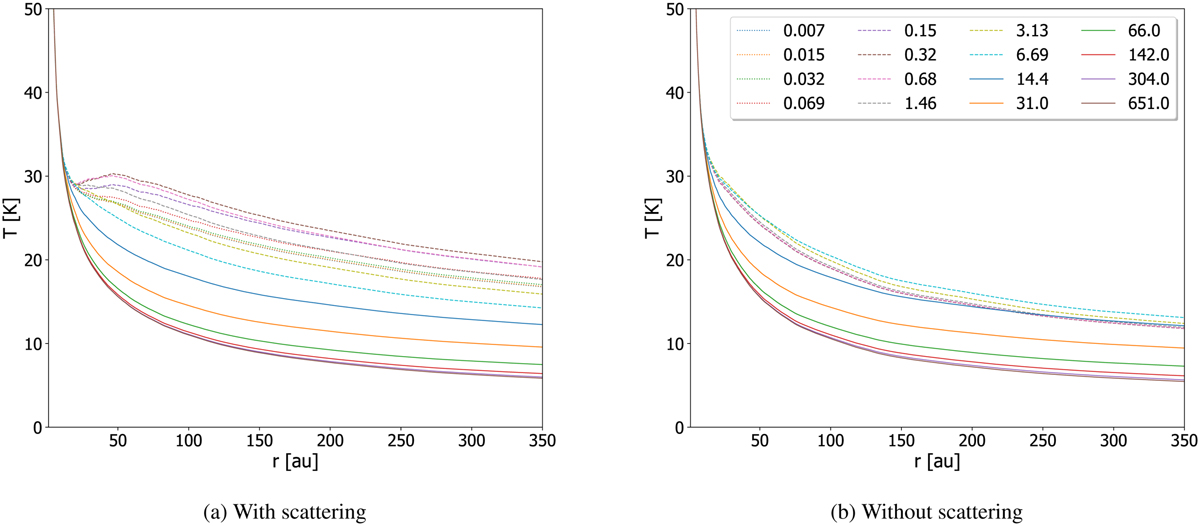
Midplane radial dust temperature profiles of model M16. The dotted curves represent the dust temperatures of the small dust grains, the dashed curves represent the temperature of the intermediate grains, and the solid curves show the dust temperatures of the large dust grains. The grain sizes are given in µm. Left: temperatures with scattering. Right: temperatures with scattering opacity of the intermediate grains set to zero.
Current usage metrics show cumulative count of Article Views (full-text article views including HTML views, PDF and ePub downloads, according to the available data) and Abstracts Views on Vision4Press platform.
Data correspond to usage on the plateform after 2015. The current usage metrics is available 48-96 hours after online publication and is updated daily on week days.
Initial download of the metrics may take a while.