Fig. 3

Download original image
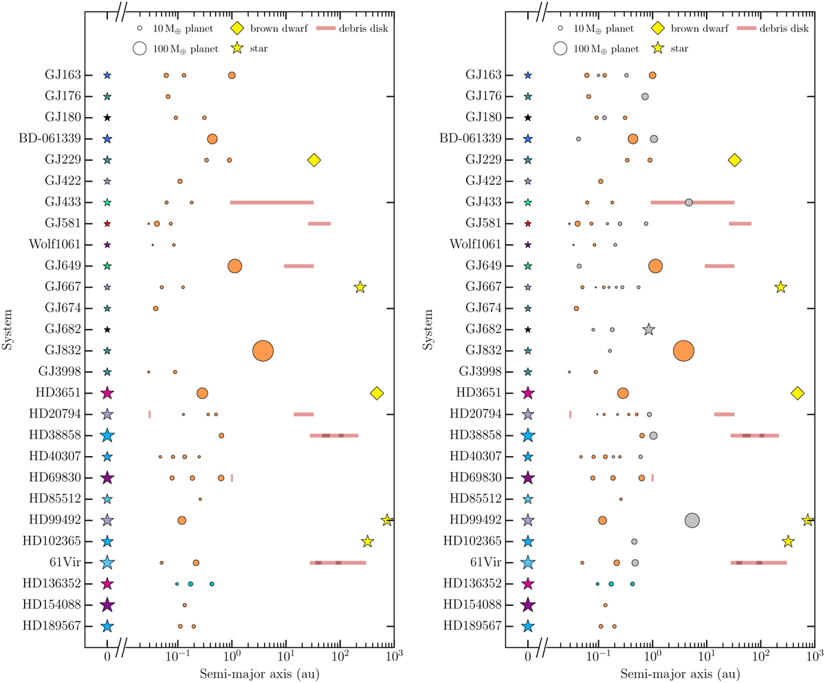
Overview of the 27 systems in our sample. The planets are represented in orange if the minimal mass is used to scale the circle radius, in blue (HD 136352) if the absolute mass is used instead. On the right image, we added the unconfirmed planets in gray. We indicate the expected locations of the known debris disk(s) with red horizontal rectangles, with two possible structures for 61 Vir and HD 38858, either a single-belt or a two-belt (darker region only) architecture. For the host star, the color code is the same than in Fig. 2, and the bigger the star marker is, the higher the stellar mass. The references for each system (star, planet, debris disk and/or binary companion) are indicated in Appendix A.
Current usage metrics show cumulative count of Article Views (full-text article views including HTML views, PDF and ePub downloads, according to the available data) and Abstracts Views on Vision4Press platform.
Data correspond to usage on the plateform after 2015. The current usage metrics is available 48-96 hours after online publication and is updated daily on week days.
Initial download of the metrics may take a while.