Fig. 8.

Download original image
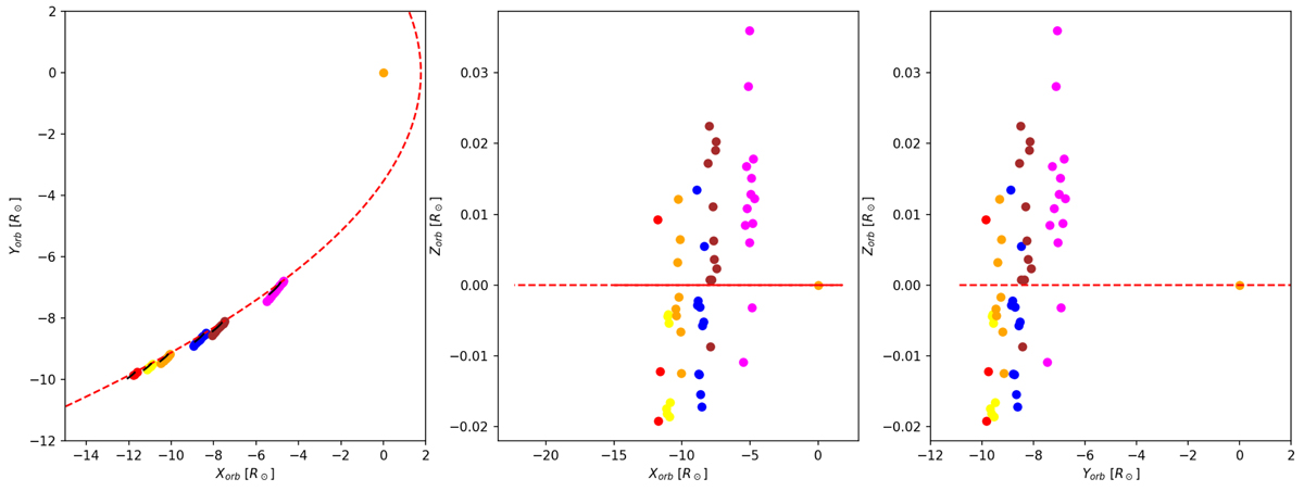
Distributions of 3D tie-points sampling the VL comet tail in the reference frame of the comet trajectory: Xorb − Yorb coincides with the comet orbital plane; Zorb is perpendicular to it. The points tends to distribute along a curve lying in the orbital plane (left panel), while in the Zorb direction, the points are dispersed at most within ±0.04 R⊙.
Current usage metrics show cumulative count of Article Views (full-text article views including HTML views, PDF and ePub downloads, according to the available data) and Abstracts Views on Vision4Press platform.
Data correspond to usage on the plateform after 2015. The current usage metrics is available 48-96 hours after online publication and is updated daily on week days.
Initial download of the metrics may take a while.