Fig. B.1

Download original image
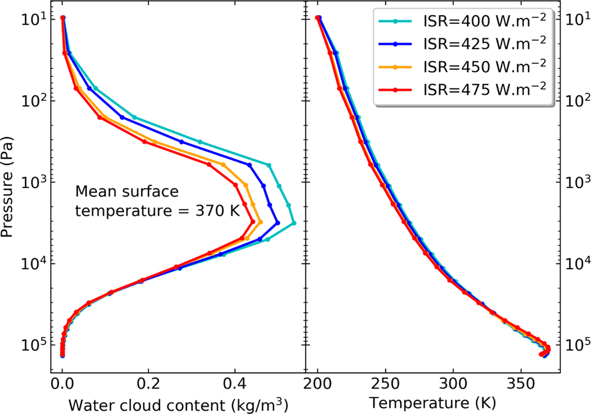
Cloud (liquid + ice) profiles and temperature profiles during the runaway greenhouse when the global surface temperature is equal to 370 K, from simulations assuming different insolations and a common initial condition. The simulation setup is the waterworld with 1 bar of nitrogen without CO2 (W1). The profiles are averaged over one year.
Current usage metrics show cumulative count of Article Views (full-text article views including HTML views, PDF and ePub downloads, according to the available data) and Abstracts Views on Vision4Press platform.
Data correspond to usage on the plateform after 2015. The current usage metrics is available 48-96 hours after online publication and is updated daily on week days.
Initial download of the metrics may take a while.