Open Access
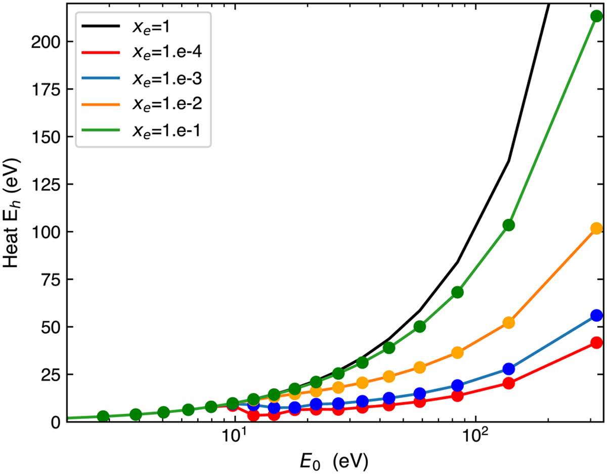
Fig. 4

Download original image
Energy Eh deposited as heat by primary electrons of energy E0. The solid curves represent different fractional ionisations. The heating efficiency is given by ηλ,xe = Eh/E0. The figure is based on calculations from García Muñoz (2023).
Current usage metrics show cumulative count of Article Views (full-text article views including HTML views, PDF and ePub downloads, according to the available data) and Abstracts Views on Vision4Press platform.
Data correspond to usage on the plateform after 2015. The current usage metrics is available 48-96 hours after online publication and is updated daily on week days.
Initial download of the metrics may take a while.