Fig. 5

Download original image
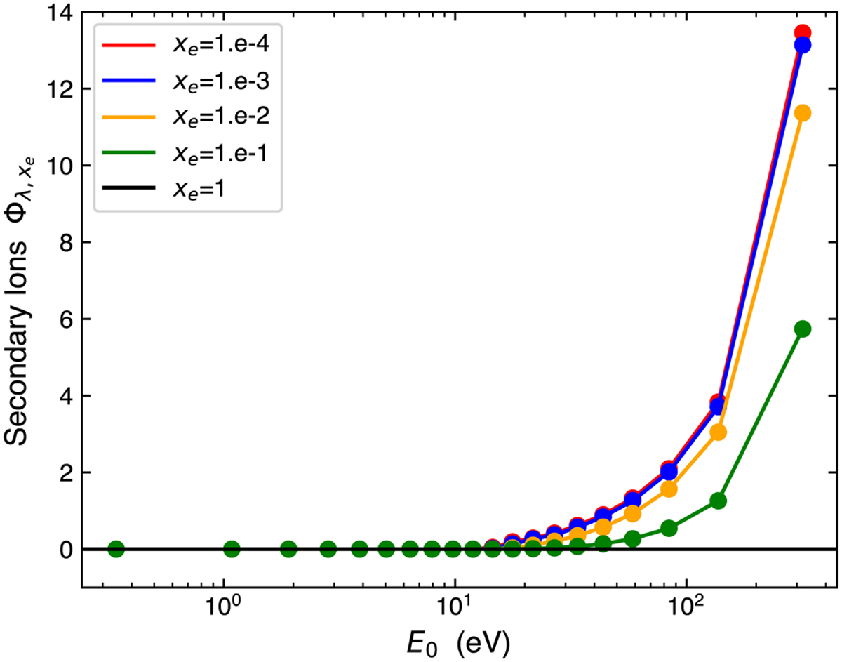
Secondary ions produced by a primary electron of energy E0. The solid curves represent different fractional ionisations. We note that these yields refer to energy bins of finite size rather than to the specific energies quoted there. This distinction causes some difference at higher energies because the energy bins are larger for them. We have nevertheless confirmed that this has no significant impact on the overall gas properties and mass-loss rates by running a few tests with a refined spectral grid of 40 bins. Based on calculations from García Muñoz (2023).
Current usage metrics show cumulative count of Article Views (full-text article views including HTML views, PDF and ePub downloads, according to the available data) and Abstracts Views on Vision4Press platform.
Data correspond to usage on the plateform after 2015. The current usage metrics is available 48-96 hours after online publication and is updated daily on week days.
Initial download of the metrics may take a while.