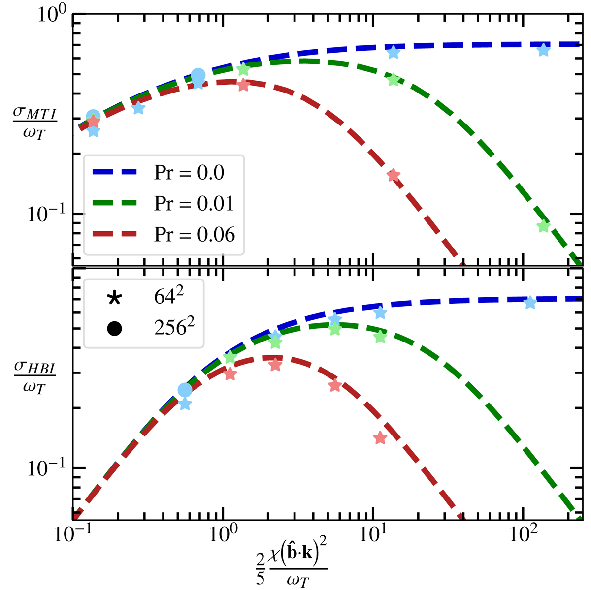
Fig. B.1.

Download original image
Comparison between the MTI (top) and HBI (bottom) linear growth rates numerically measured and theoretically computed thanks to the dispersion relations. The initial velocity perturbation is a fundamental divergence-free diagonal mode (ky = kz = 2π/L) with amplitude 10−4. Different colour tones are for the different Prandtl numbers. Runs with resolution 642 and 2562 are represented by stars and dots.
Current usage metrics show cumulative count of Article Views (full-text article views including HTML views, PDF and ePub downloads, according to the available data) and Abstracts Views on Vision4Press platform.
Data correspond to usage on the plateform after 2015. The current usage metrics is available 48-96 hours after online publication and is updated daily on week days.
Initial download of the metrics may take a while.