Open Access
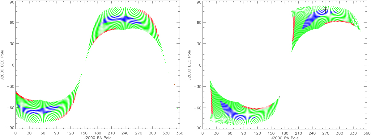
Fig. 2

Download original image
Solution space for the pole of rotation for pairs 2013+2021 (left) and 2015+2021 (right). See the main text for more information. The black cross gives the solution intersection of the red and blue areas.
Current usage metrics show cumulative count of Article Views (full-text article views including HTML views, PDF and ePub downloads, according to the available data) and Abstracts Views on Vision4Press platform.
Data correspond to usage on the plateform after 2015. The current usage metrics is available 48-96 hours after online publication and is updated daily on week days.
Initial download of the metrics may take a while.