Open Access
Fig. 6

Download original image
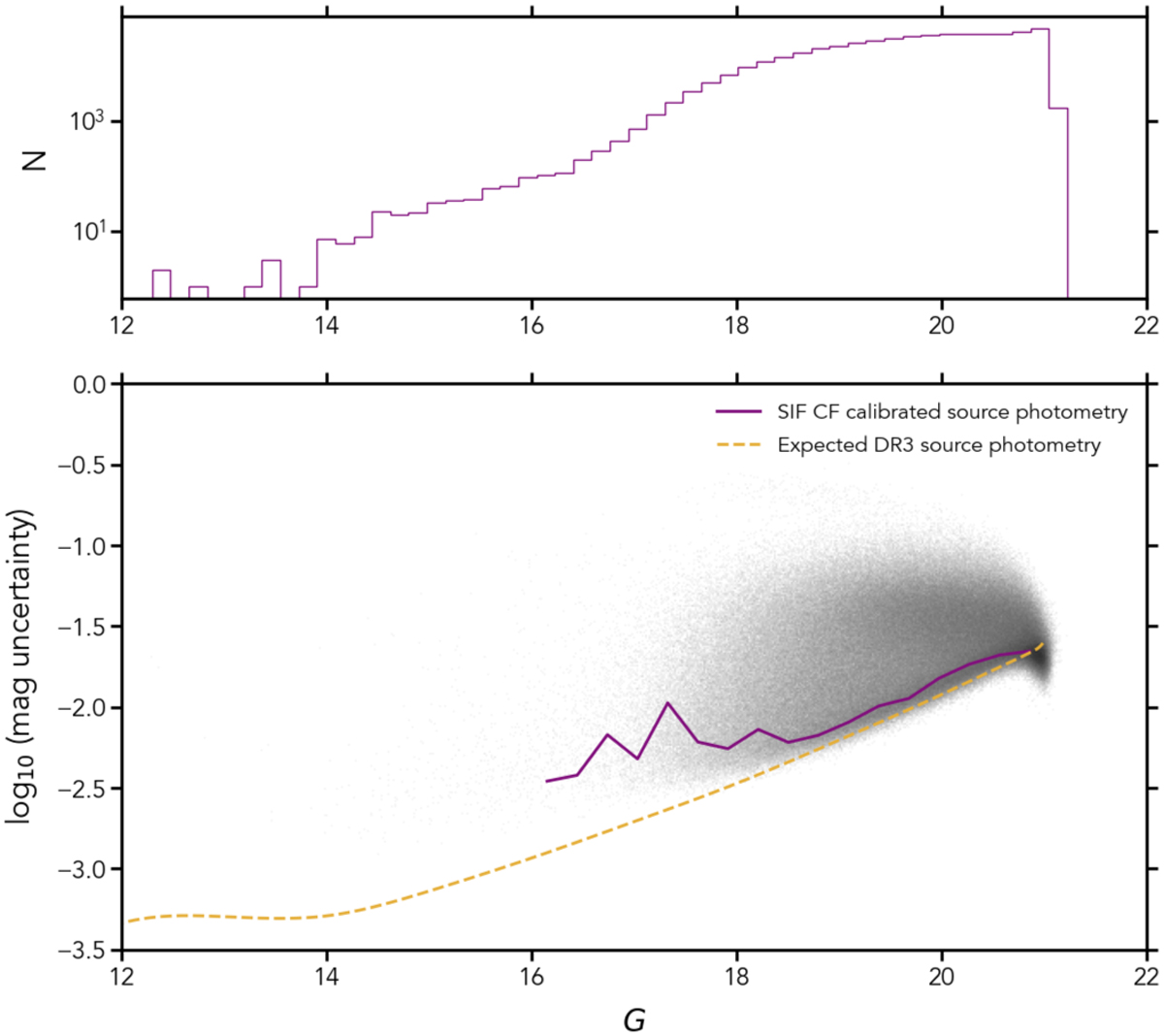
Distribution of magnitude and magnitude uncertainty for SIF CF sources in ω Cen. Top: Magnitude distribution. Bottom: Distribution of the mean G magnitude uncertainty versus G magnitude with data density in grey, see the legend and text for a description of the various overlaid curves.
Current usage metrics show cumulative count of Article Views (full-text article views including HTML views, PDF and ePub downloads, according to the available data) and Abstracts Views on Vision4Press platform.
Data correspond to usage on the plateform after 2015. The current usage metrics is available 48-96 hours after online publication and is updated daily on week days.
Initial download of the metrics may take a while.