Fig. 4.

Download original image
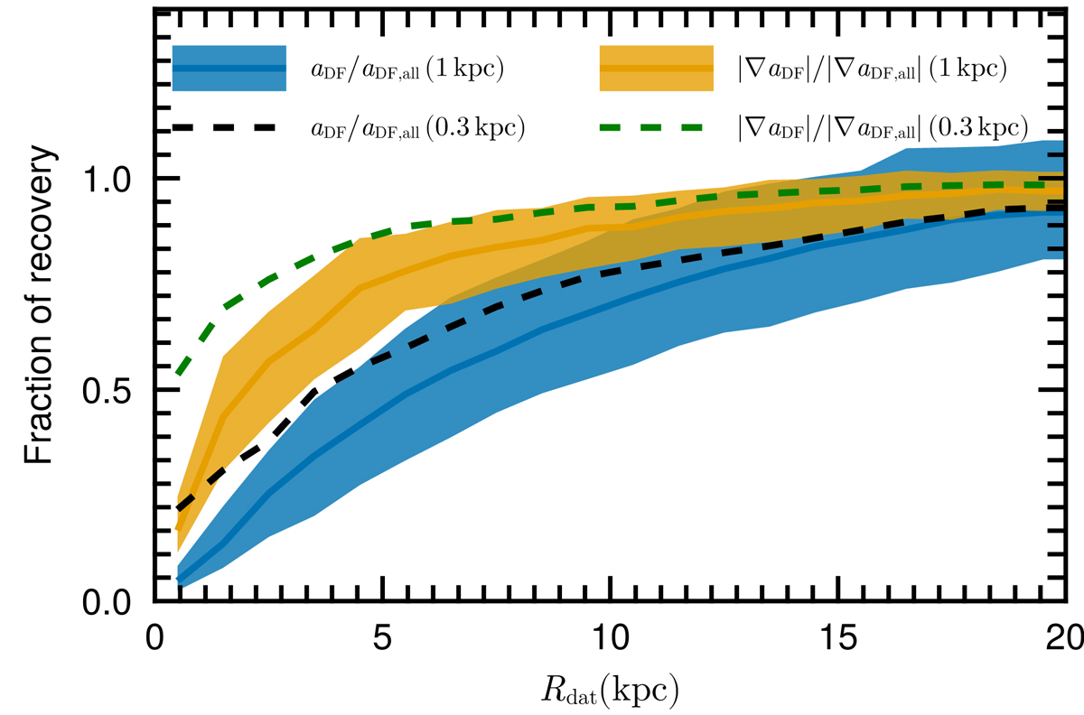
Recovery fraction of total dynamical friction or its tides in case of 0.3 kpc or 1 kpc softening measured by dimensionless acceleration ratios. The simulation was run with 1 kpc softening; hence, the contributions from regions dampened by softening would be unresolvable for the simulation. To give an estimate of how much is unresolved, we re-evaluated the dynamical friction using a smaller softening length of b = 0.3 kpc. Hence, the difference of the lines between different softening values (0.3 and 1.0 kpc) characterise the contribution of the unresolved part of the dynamical friction. The band around the lines is formed from the estimates from all the simulation snapshots available.
Current usage metrics show cumulative count of Article Views (full-text article views including HTML views, PDF and ePub downloads, according to the available data) and Abstracts Views on Vision4Press platform.
Data correspond to usage on the plateform after 2015. The current usage metrics is available 48-96 hours after online publication and is updated daily on week days.
Initial download of the metrics may take a while.