Press Release
Open Access

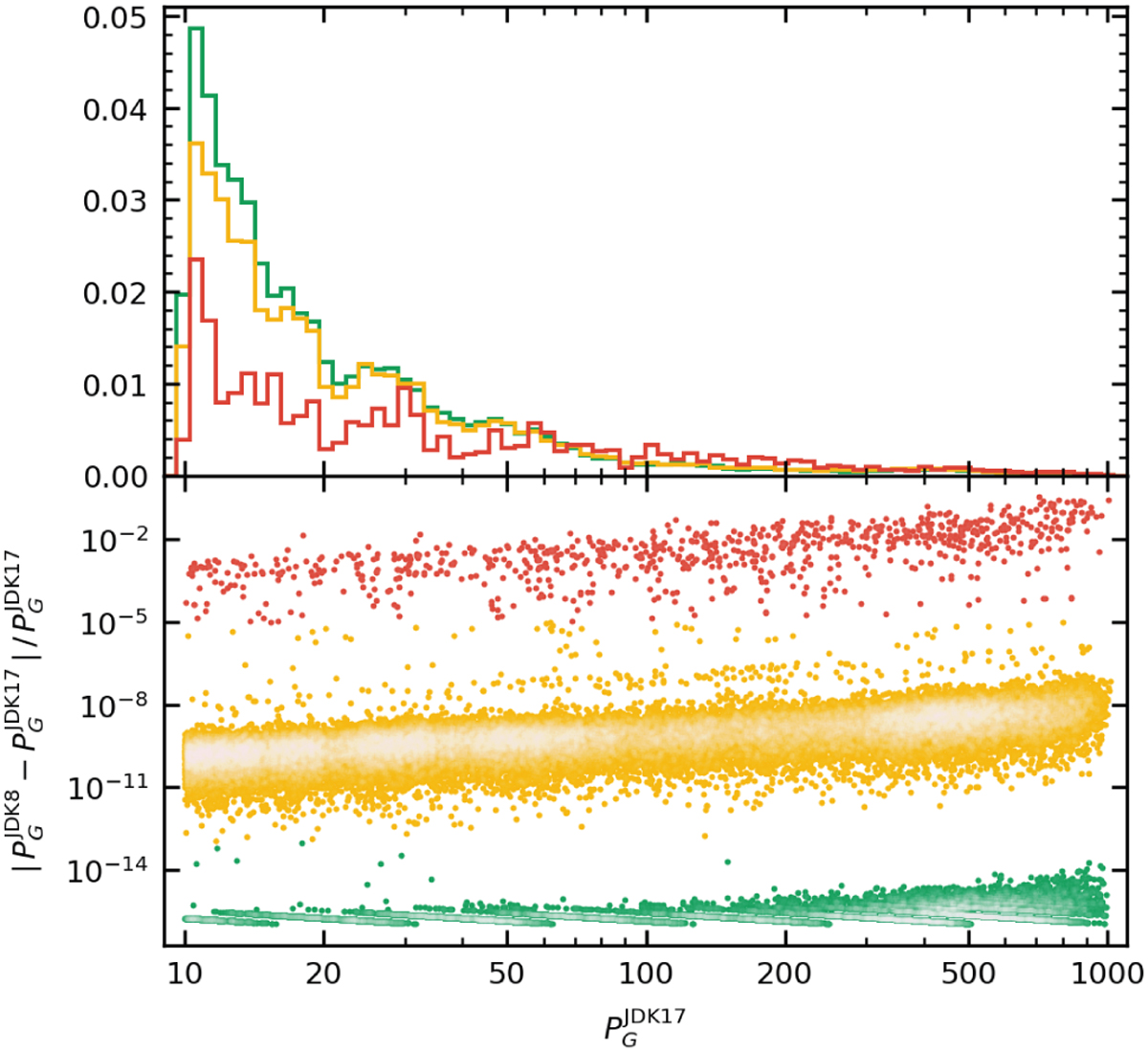
Fig. C.2

image

Download original image

Period distribution for the three groups shown in Fig. C.1 (top panel), and relation of the period with the relative period difference. The period shown is the one obtained after the upgrade to JDK-17. The same color scheme as in Fig. C.1 is adopted. The histograms are normalized by area.

Current usage metrics show cumulative count of Article Views (full-text article views including HTML views, PDF and ePub downloads, according to the available data) and Abstracts Views on Vision4Press platform.

Data correspond to usage on the plateform after 2015. The current usage metrics is available 48-96 hours after online publication and is updated daily on week days.

Initial download of the metrics may take a while.