Open Access
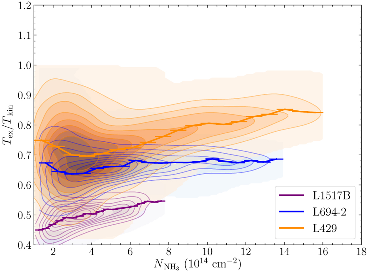
Fig. 7

Download original image
KDE of Tex/Tkin ratio as a function of NH3 column density. The line segments correspond to mean values in NH3 column density bins, with solid lines linked together.
Current usage metrics show cumulative count of Article Views (full-text article views including HTML views, PDF and ePub downloads, according to the available data) and Abstracts Views on Vision4Press platform.
Data correspond to usage on the plateform after 2015. The current usage metrics is available 48-96 hours after online publication and is updated daily on week days.
Initial download of the metrics may take a while.