Open Access
Fig. C.1.

Download original image
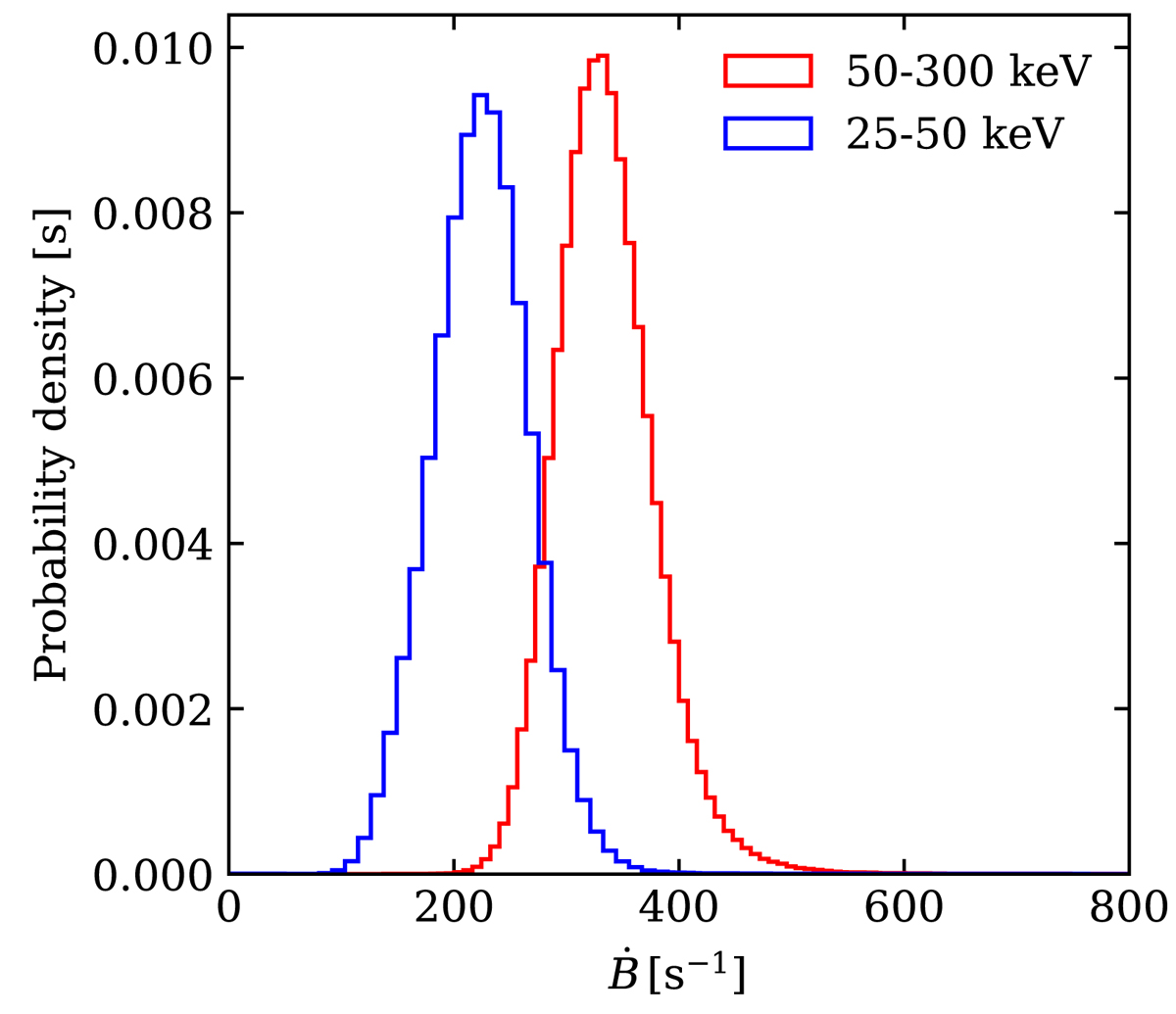
Probability density of the NaI background count rates in the 25-50 and 50-300 keV bands, constructed by sampling GBM ctime day data from days 210530 and 220928 at random times, combined from all 12 detectors.
Current usage metrics show cumulative count of Article Views (full-text article views including HTML views, PDF and ePub downloads, according to the available data) and Abstracts Views on Vision4Press platform.
Data correspond to usage on the plateform after 2015. The current usage metrics is available 48-96 hours after online publication and is updated daily on week days.
Initial download of the metrics may take a while.