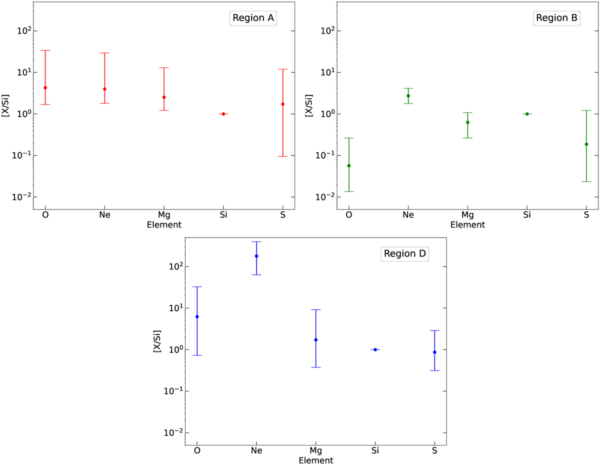
Fig. 9

Download original image
Logarithmic ratio of the X element (O, Ne, Mg, Si, S) abundances with that of Si. The abundances are derived from a two-component fit employing one single temperature parallel shock model (VPSHOCK) and a recombination additive model (VRNEI). We do not show the plot for region C because the 0.7 keV component is absent when VRNEI is employed.
Current usage metrics show cumulative count of Article Views (full-text article views including HTML views, PDF and ePub downloads, according to the available data) and Abstracts Views on Vision4Press platform.
Data correspond to usage on the plateform after 2015. The current usage metrics is available 48-96 hours after online publication and is updated daily on week days.
Initial download of the metrics may take a while.