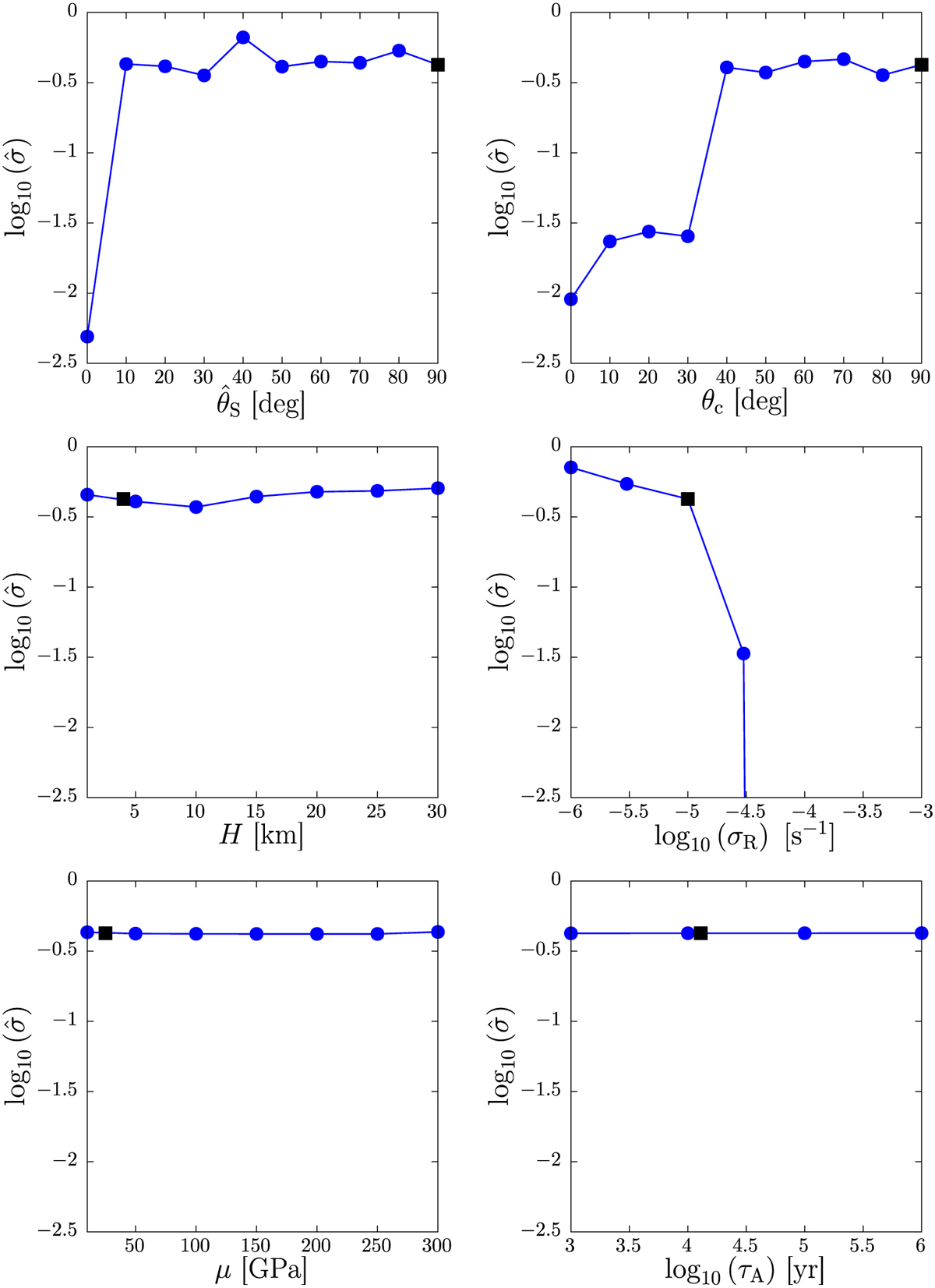
Fig. 6

Download original image
Evolution of the normalised standard deviation of the frequency interval separating two relative maxima with the parameters of Fig. 4. The metric, given by Eq. (109), is plotted in logarithmic scale (vertical axis) as a function of the parameters (horizontal axis). Top: Dependence on the colatitude of the continental centre (left panel) and angular radius of the continent (right panel). Middle: Dependence on the oceanic depth (left panel) and Rayleigh drag frequency (right panel). Bottom: Dependence on the effective shear modulus (left panel) and Andrade time (right panel) of the solid part. Blue dots indicate the values obtained for various values of the parameters, while black squares designate the reference case defined in Table 2: ,
, H* = 4.0 km,
, μ* = 25.1189 GPa, and
.
Current usage metrics show cumulative count of Article Views (full-text article views including HTML views, PDF and ePub downloads, according to the available data) and Abstracts Views on Vision4Press platform.
Data correspond to usage on the plateform after 2015. The current usage metrics is available 48-96 hours after online publication and is updated daily on week days.
Initial download of the metrics may take a while.