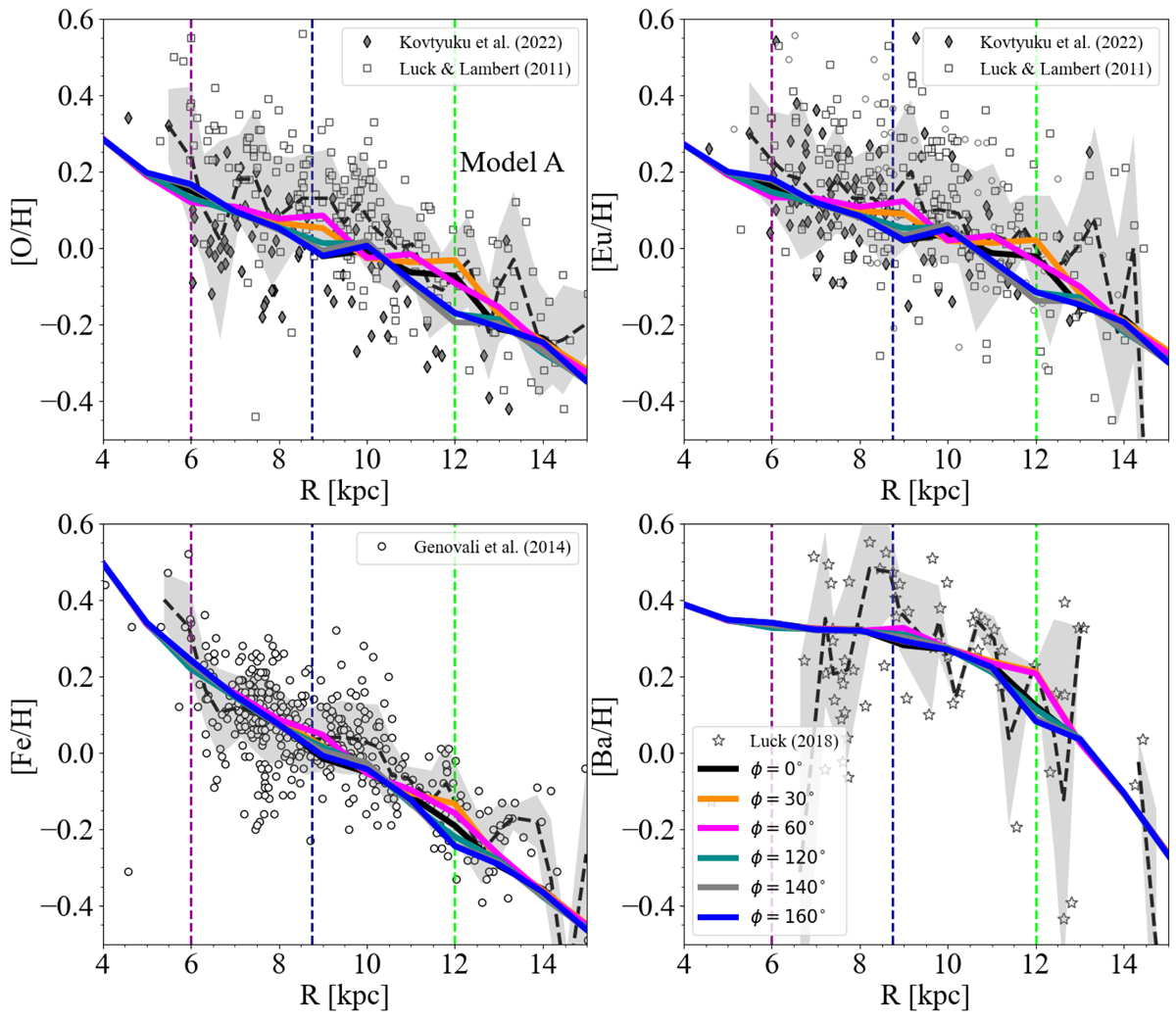
Fig. 6.

Download original image
Present-day oxygen (upper left panel), europium (upper right panel), iron (lower left panel), and barium (lower right panel) abundance gradients for different azimuths as predicted by Model A (see Table 1 for model details). In each panel, the coloured dashed vertical lines indicate the location of the co-rotation radii for the three spiral structures characterised by different pattern speeds. Model predictions are compared with Cepheids data provided by Kovtyukh et al. (2022) and Luck & Lambert (2011) for oxygen and europium, and by Genovali et al. (2014) for iron and by Luck (2018) for barium. The data trends (black dashed lines) are computed by calculating the running median in bins of 0.5 kpc, with a 40% overlap, and a minimum number of stars per bin of two for O, Fe, and Eu, and one for Ba; this lower minimum for Ba is chosen because of the low number of measurements in the sample. The shaded regions on the plot represent the standard deviation of these trends. For the sake of visualisation, we focus on the abundance range [–0.5, 0.6] dex, excluding stars with [Ba/H] > 0.6 dex.
Current usage metrics show cumulative count of Article Views (full-text article views including HTML views, PDF and ePub downloads, according to the available data) and Abstracts Views on Vision4Press platform.
Data correspond to usage on the plateform after 2015. The current usage metrics is available 48-96 hours after online publication and is updated daily on week days.
Initial download of the metrics may take a while.