Open Access
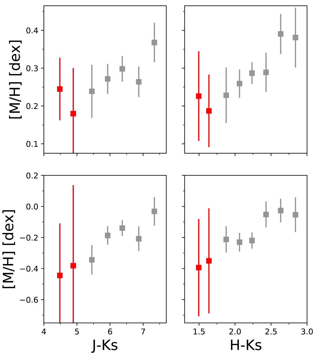
Fig. 7.

Download original image
Metallicity as a function of colour. Upper panels: metal rich stellar population. Lower panels: metal poor stellar population. The red and grey squares correspond to stars from the MWNSD and MWNSC following the extinction criterion in Sect. 3.
Current usage metrics show cumulative count of Article Views (full-text article views including HTML views, PDF and ePub downloads, according to the available data) and Abstracts Views on Vision4Press platform.
Data correspond to usage on the plateform after 2015. The current usage metrics is available 48-96 hours after online publication and is updated daily on week days.
Initial download of the metrics may take a while.