Open Access
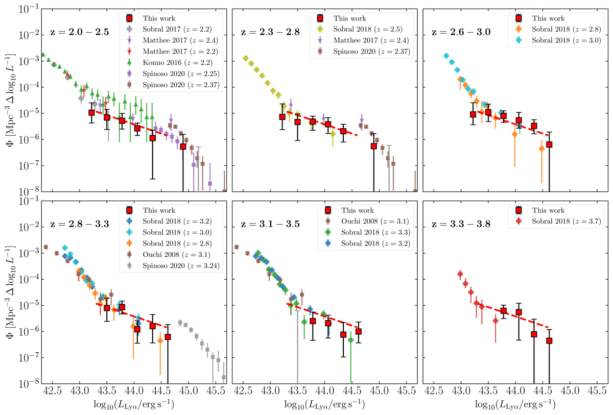
Fig. 11.

Download original image
Lyα LFs for six intervals in redshift. We show the full redshift range power-law fit for reference (dashed red line). The redshift bins showed in this figure overlap and are therefore correlated. The Lyα LF shows no significant evolution with redshift within the given uncertainties.
Current usage metrics show cumulative count of Article Views (full-text article views including HTML views, PDF and ePub downloads, according to the available data) and Abstracts Views on Vision4Press platform.
Data correspond to usage on the plateform after 2015. The current usage metrics is available 48-96 hours after online publication and is updated daily on week days.
Initial download of the metrics may take a while.