Fig. 5.

Download original image
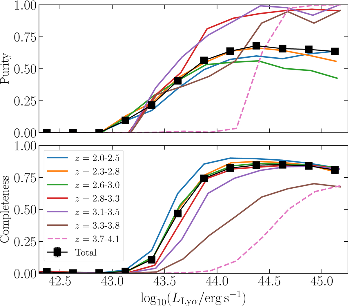
Purity and completeness as a function of LLyα of the full retrieved sample at 2.05 < z < 3.75. We show the values of purity and completeness for the whole redshift range in black solid lines, and for each redshift interval used in colored solid lines. We represent an additional redshift interval to show the trend beyond the redshift range probed by this work (dashed line).
Current usage metrics show cumulative count of Article Views (full-text article views including HTML views, PDF and ePub downloads, according to the available data) and Abstracts Views on Vision4Press platform.
Data correspond to usage on the plateform after 2015. The current usage metrics is available 48-96 hours after online publication and is updated daily on week days.
Initial download of the metrics may take a while.