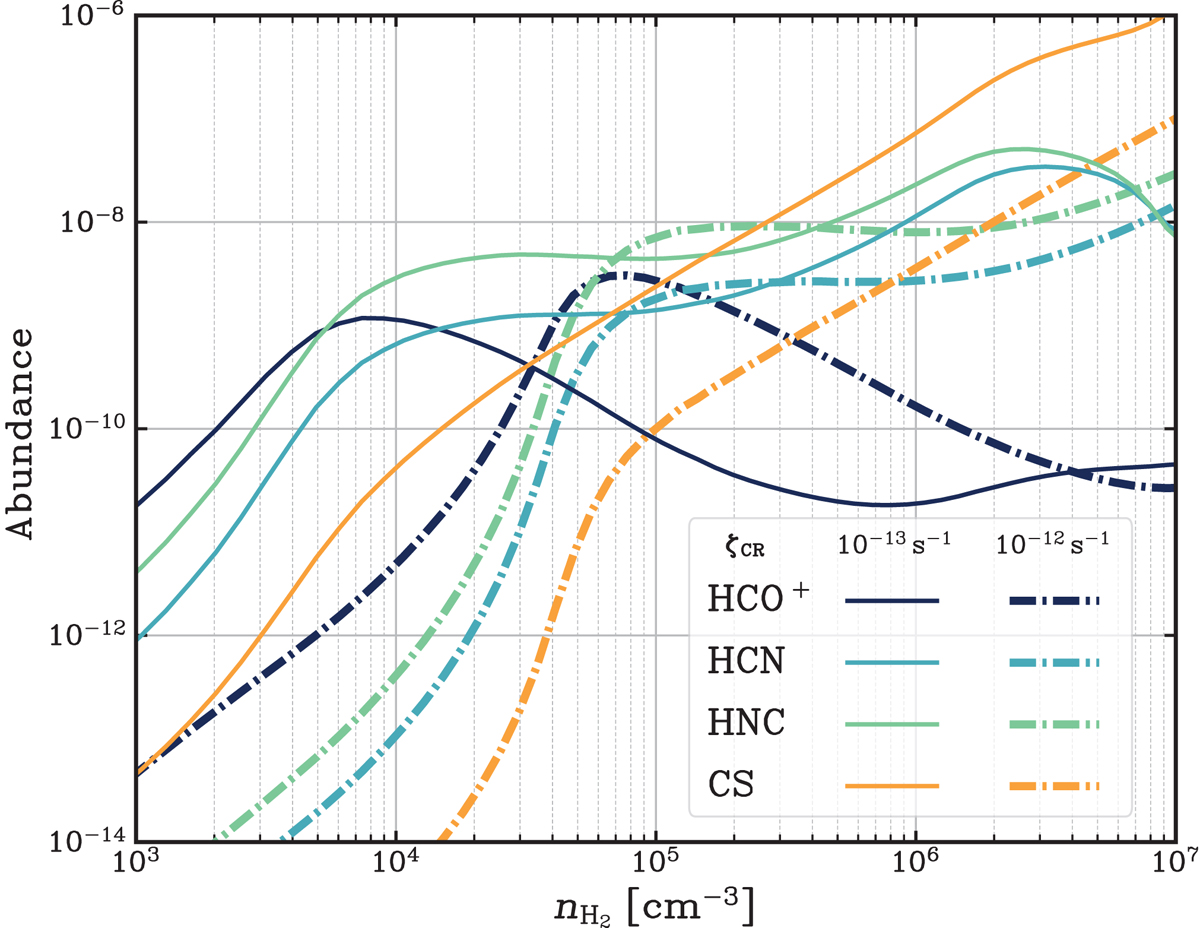
Fig. 15.

Download original image
Abundances of HCN, HCO+, HNC and CS versus nH2, for two different CR ionization rates (solid lines for ζCR = 10−13 s−1 and solid-dotted lines for 10−12 s−1). Our model shows that with such a high ionization rate ζCR = 10−13–10−12 s−1, the abundances of HCO+ is expected to be lower than HCN, HNC, and CS in the dense gas regions of nH2 > 105 cm−3. However, with increasing CR ionization rates, at the same H2 densities, the abundance of HCO+ is rising for the dense gas while the abundance of CS is decreasing.
Current usage metrics show cumulative count of Article Views (full-text article views including HTML views, PDF and ePub downloads, according to the available data) and Abstracts Views on Vision4Press platform.
Data correspond to usage on the plateform after 2015. The current usage metrics is available 48-96 hours after online publication and is updated daily on week days.
Initial download of the metrics may take a while.