Fig. D.1.

Download original image
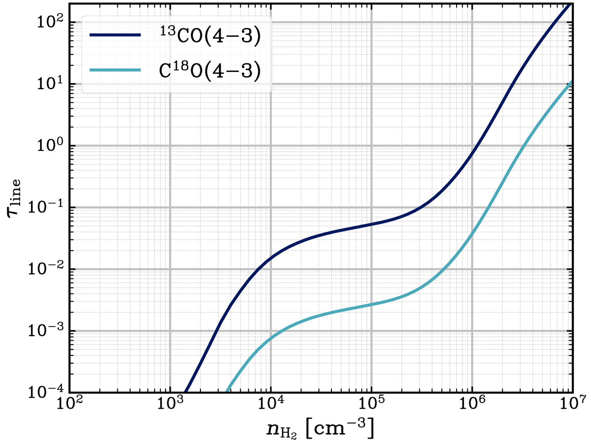
3D-PDR calculations using a density distribution representing the AV, eff − nH relationship (Bisbas et al. 2019). The figure shows the optical depth of 13CO(4–3) and C18O(4–3) lines as a function of the H2 volume density. We find that both lines remain optically thin for nH2 ≲ 106 cm−3), while the 13CO(4–3) starts to have moderate optical depth with increasing H2 densities.
Current usage metrics show cumulative count of Article Views (full-text article views including HTML views, PDF and ePub downloads, according to the available data) and Abstracts Views on Vision4Press platform.
Data correspond to usage on the plateform after 2015. The current usage metrics is available 48-96 hours after online publication and is updated daily on week days.
Initial download of the metrics may take a while.