Fig. 3.

Download original image
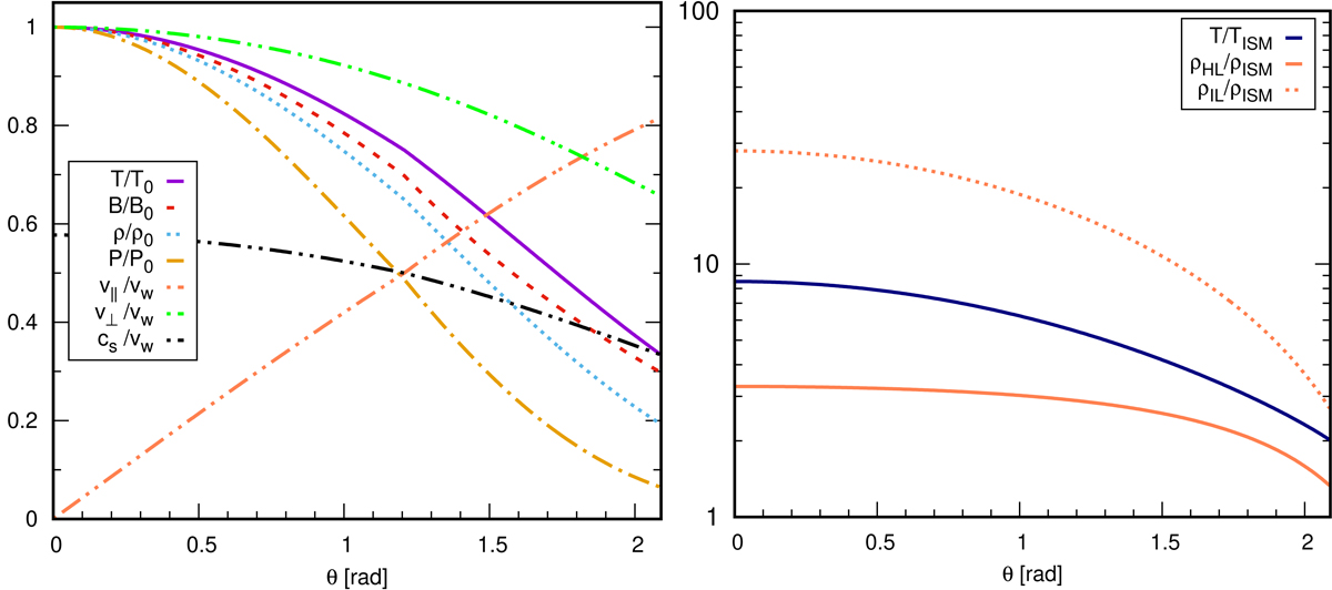
Thermodynamical quantities along the BS of BD+43°3654. Left panel: thermodynamic variables in the RS as a function of θ. The temperature, magnetic field, density, and pressure are normalised to their values at the apex (θ = 0), while the tangential, perpendicular, and sound velocities are normalised to the stellar wind velocity. Right panel: density of the IL (dotted coral line) and HL (solid coral line) and temperature of the HL (blue solid line), all as a function of the angle θ; the variables are normalised to the un-shocked ISM values.
Current usage metrics show cumulative count of Article Views (full-text article views including HTML views, PDF and ePub downloads, according to the available data) and Abstracts Views on Vision4Press platform.
Data correspond to usage on the plateform after 2015. The current usage metrics is available 48-96 hours after online publication and is updated daily on week days.
Initial download of the metrics may take a while.