Open Access
Fig. 3.

Download original image
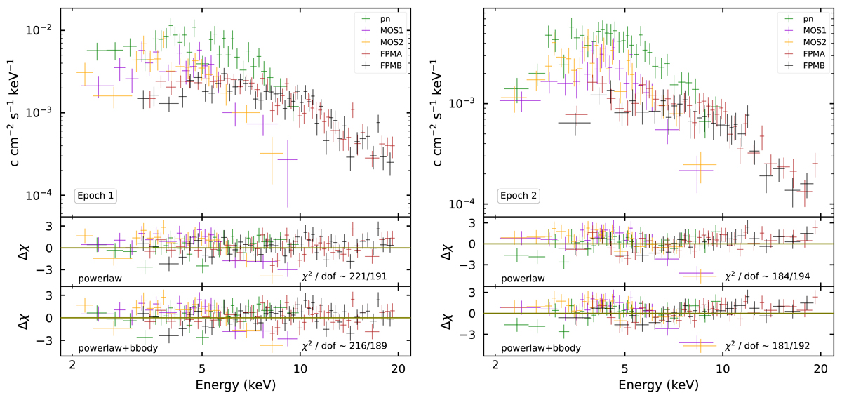
Spectral modeling results corresponding to Epoch 1 (left column) and Epoch 2 (right column) derived from simultaneous XMM-Newton and NuSTAR data (top panels). χ2 residuals correspond to an absorbed power-law (middle panel) and absorbed power-law with a black-body component (bottom panel).
Current usage metrics show cumulative count of Article Views (full-text article views including HTML views, PDF and ePub downloads, according to the available data) and Abstracts Views on Vision4Press platform.
Data correspond to usage on the plateform after 2015. The current usage metrics is available 48-96 hours after online publication and is updated daily on week days.
Initial download of the metrics may take a while.