Fig. 5.

Download original image
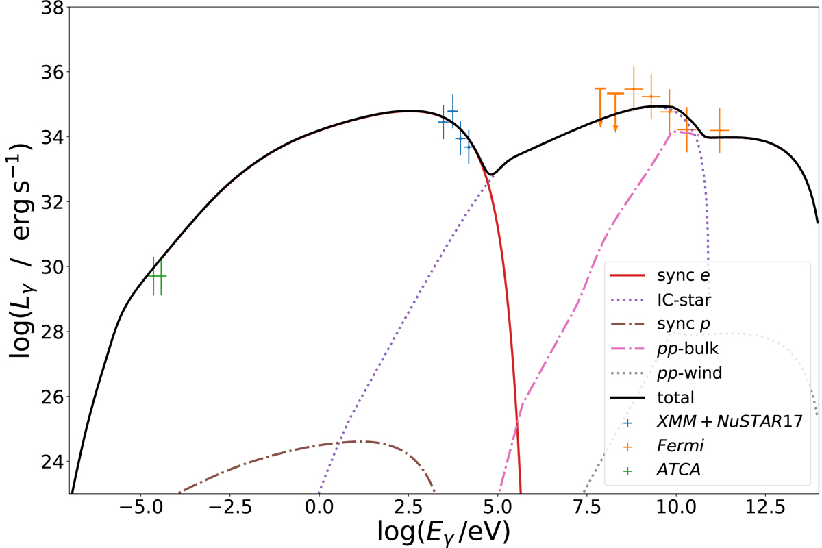
Nonthermal SED derived from our jet model. We considered the following radiative processes: for protons, synchrotron emission and proton-proton collisions with the cold protons of the jet bulk and the companion’s wind; for electrons, synchrotron emission and inverse Compton scattering off the radiation field of the companion. The figure also shows luminosities derived from XMM-Newton+NuSTAR data (our work) as well as ATCA and Fermi data taken from Corbet et al. (2019) and the 4FGL-DR2 catalog (Abdollahi et al. 2020; Ballet et al. 2020), respectively. All the references are in the figure.
Current usage metrics show cumulative count of Article Views (full-text article views including HTML views, PDF and ePub downloads, according to the available data) and Abstracts Views on Vision4Press platform.
Data correspond to usage on the plateform after 2015. The current usage metrics is available 48-96 hours after online publication and is updated daily on week days.
Initial download of the metrics may take a while.