Fig. 2

Download original image
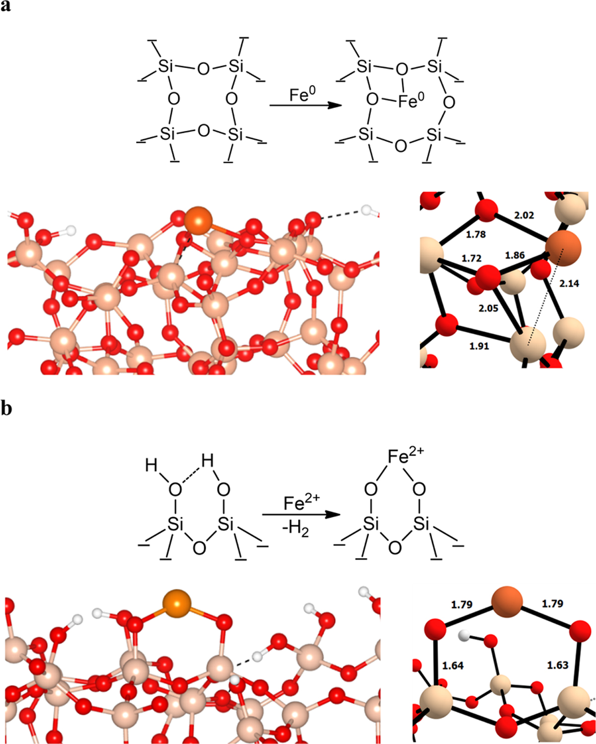
Surface models for Fe single atoms on SiO2. (a) Schematic of Fe0 grafting over the SiO2 ; shown is a zoomed-out (left) and a zoomed-in (right) image for the optimised geometry of the Fe0@SiO2 system. (b) Schematic of the Fe2+ grafting over the SiO2; shown is a zoomed-out (left) and a zoomed-in (right) image for the optimised geometry of the Fe2+@SiO2 system. The relevant distances are depicted in angstroms (Å). Colour-coding: white, H atoms; grey, C atoms; red, O atoms; beige, Si atoms; and orange, Fe atoms.
Current usage metrics show cumulative count of Article Views (full-text article views including HTML views, PDF and ePub downloads, according to the available data) and Abstracts Views on Vision4Press platform.
Data correspond to usage on the plateform after 2015. The current usage metrics is available 48-96 hours after online publication and is updated daily on week days.
Initial download of the metrics may take a while.