Fig. 7.

Download original image
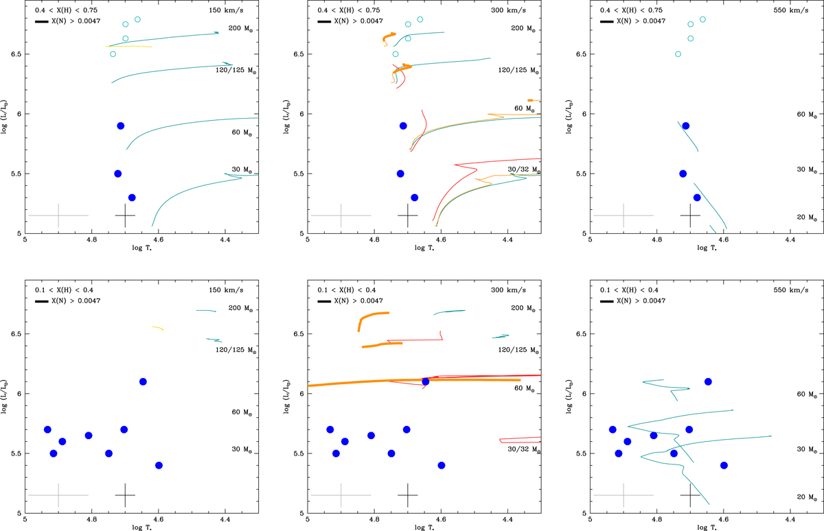
Same as Fig. 6 but for the LMC. The tracks of Brott et al. (2011) are complemented with those of Köhler et al. (2015) for masses above 100 M⊙. The left panel shows the 200 M⊙ non-rotating tracks of Martins & Palacios (2022) in yellow. The right panels show models for an initial rotational velocity of 550 km s−1. The red tracks are from Eggenberger et al. (2021). The bold part of the tracks is for a nitrogen mass fraction of greater than 0.0047. Open circles are stars in 30 Dor from Bestenlehner et al. (2011, 2020).
Current usage metrics show cumulative count of Article Views (full-text article views including HTML views, PDF and ePub downloads, according to the available data) and Abstracts Views on Vision4Press platform.
Data correspond to usage on the plateform after 2015. The current usage metrics is available 48-96 hours after online publication and is updated daily on week days.
Initial download of the metrics may take a while.