Fig. A.3.

Download original image
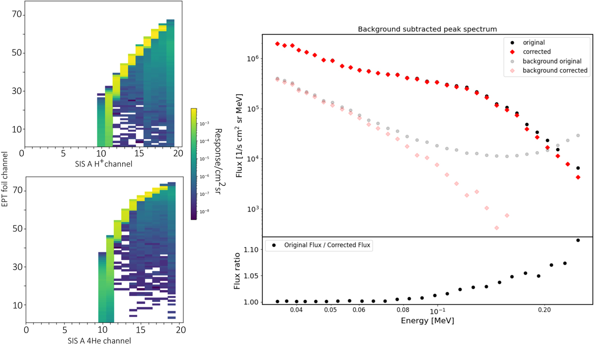
Ion contamination correction for EPD and EPT channels. The response matrices showing the mean response of all EPT foil channels to H (top left panel) and 4He (bottom left panel) in the corresponding energy channels provided by SIS. (top right panel:) Corrected vs original data of both the electron flux and the background. (bottom right panel:) Ratio of original to corrected flux.
Current usage metrics show cumulative count of Article Views (full-text article views including HTML views, PDF and ePub downloads, according to the available data) and Abstracts Views on Vision4Press platform.
Data correspond to usage on the plateform after 2015. The current usage metrics is available 48-96 hours after online publication and is updated daily on week days.
Initial download of the metrics may take a while.