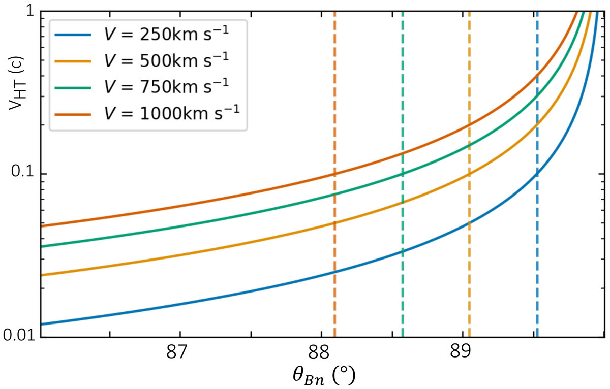
Fig. B.1.

Download original image
de Hoffmann-Teller transformation velocity (in units of light speed, c) for different upstream speeds, V (NIF) as a function of θBn. The relationship between these parameters is shown in Eq. B.2. The vertical dashed lines indicate the θBn beyond which the VHT is relativistic. The colors correspond to the different upstream speeds, V.
Current usage metrics show cumulative count of Article Views (full-text article views including HTML views, PDF and ePub downloads, according to the available data) and Abstracts Views on Vision4Press platform.
Data correspond to usage on the plateform after 2015. The current usage metrics is available 48-96 hours after online publication and is updated daily on week days.
Initial download of the metrics may take a while.