Fig. 7.

Download original image
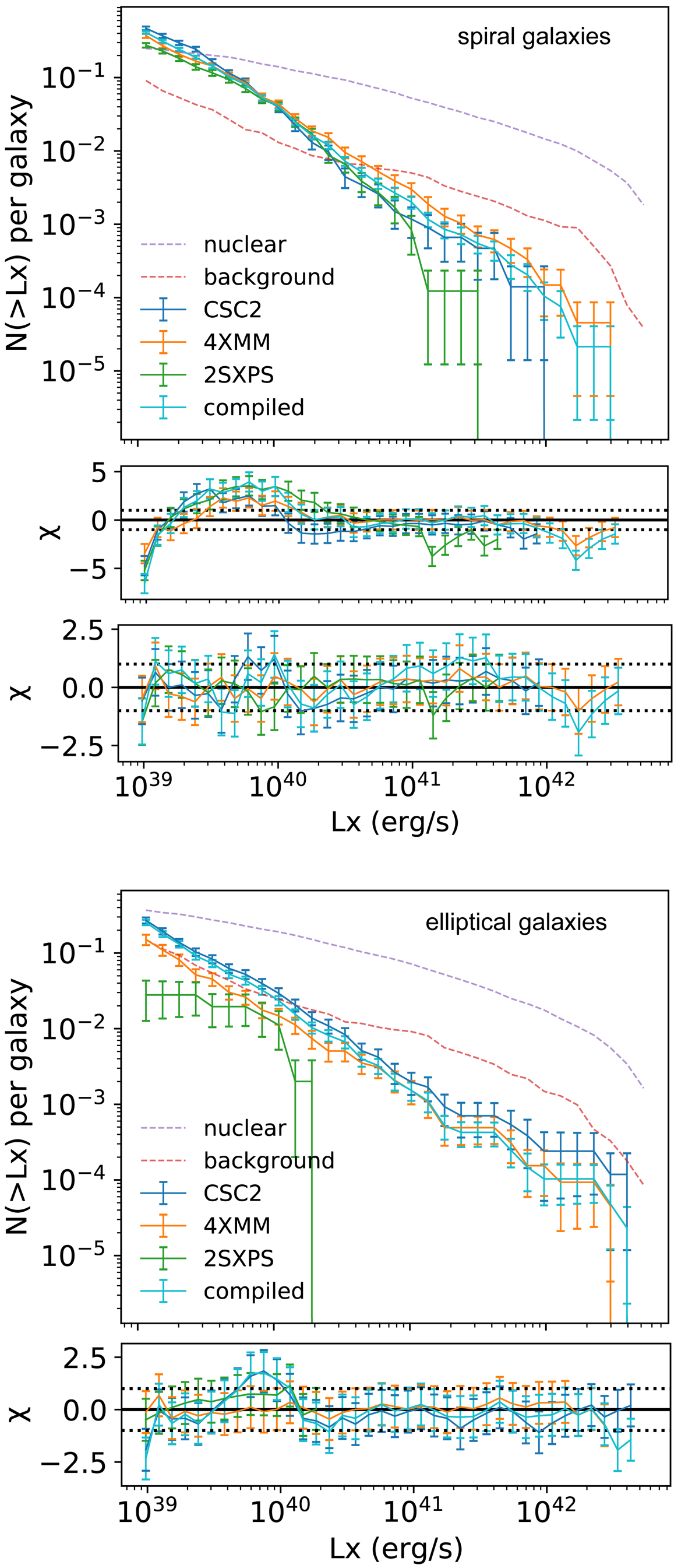
Cumulative X-ray luminosity functions of ULX candidates from 4XMM, CSC2 and 2SXPS. Top panel: deconvolved XLF of spiral galaxies, and residuals from the single (middle) and broken (bottom) power-law fits detailed in Table 5. Bottom panel: deconvolved XLF of elliptical galaxies, and residuals from the single power-law fits detailed in Table 4. For comparison, we overlay the cumulative distributions of sources matching their host nucleus, and of ULX candidates classified as background contaminants.
Current usage metrics show cumulative count of Article Views (full-text article views including HTML views, PDF and ePub downloads, according to the available data) and Abstracts Views on Vision4Press platform.
Data correspond to usage on the plateform after 2015. The current usage metrics is available 48-96 hours after online publication and is updated daily on week days.
Initial download of the metrics may take a while.