Fig. 1.

Download original image
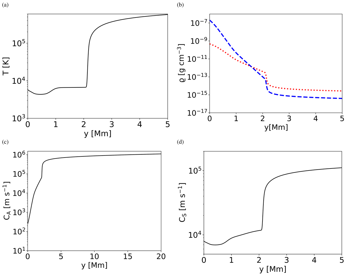
Vertical profiles of equilibrium temperature (a) (Avrett & Loeser 2008), the mass density of ions (dotted) and neutrals (dashed) (b), bulk Alfvén speed (c), and sound speed (d) in the two-fluid model of the solar atmosphere for initial magneto-hydrostatic equilibrium configuration. Initially (i.e., at t = 0 s), the temperature of ions (Ti) and neutrals (Tn) are considered to be equal, but later on, this assumption is relaxed, and Ti, Tn are permitted to vary.
Current usage metrics show cumulative count of Article Views (full-text article views including HTML views, PDF and ePub downloads, according to the available data) and Abstracts Views on Vision4Press platform.
Data correspond to usage on the plateform after 2015. The current usage metrics is available 48-96 hours after online publication and is updated daily on week days.
Initial download of the metrics may take a while.