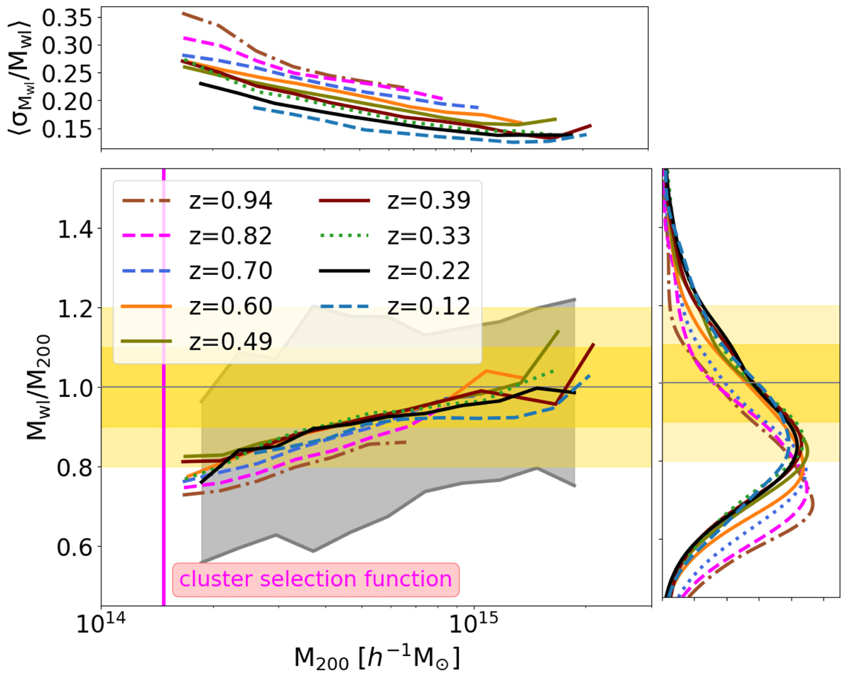
Fig. 13.

Download original image
Average weak-lensing mass bias as a function of the cluster halo mass M200 for different lens redshifts. We consider all clusters with M200 > 1014 M⊙, which is above the minimum mass expected to be selected in the photometric catalogue (Sartoris et al. 2016), and which are relatively constant with redshift. The right and top subpanels are the same as in Fig. 6.
Current usage metrics show cumulative count of Article Views (full-text article views including HTML views, PDF and ePub downloads, according to the available data) and Abstracts Views on Vision4Press platform.
Data correspond to usage on the plateform after 2015. The current usage metrics is available 48-96 hours after online publication and is updated daily on week days.
Initial download of the metrics may take a while.