Open Access
Fig. 1

Download original image
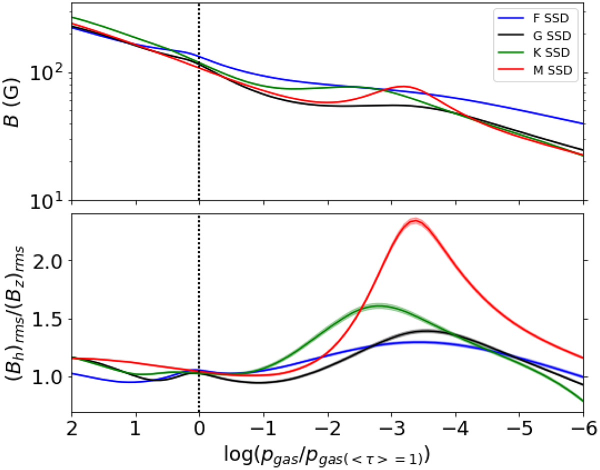
Magnetic field characteristics. Top: horizontally averaged magnitude of the magnetic field. Bottom: horizontally averaged inclination of the magnetic field, defined as . The horizontal axis is the number of pressure scale heights below the surface (positive is below, and negative is above).
Current usage metrics show cumulative count of Article Views (full-text article views including HTML views, PDF and ePub downloads, according to the available data) and Abstracts Views on Vision4Press platform.
Data correspond to usage on the plateform after 2015. The current usage metrics is available 48-96 hours after online publication and is updated daily on week days.
Initial download of the metrics may take a while.