Fig. 12

Download original image
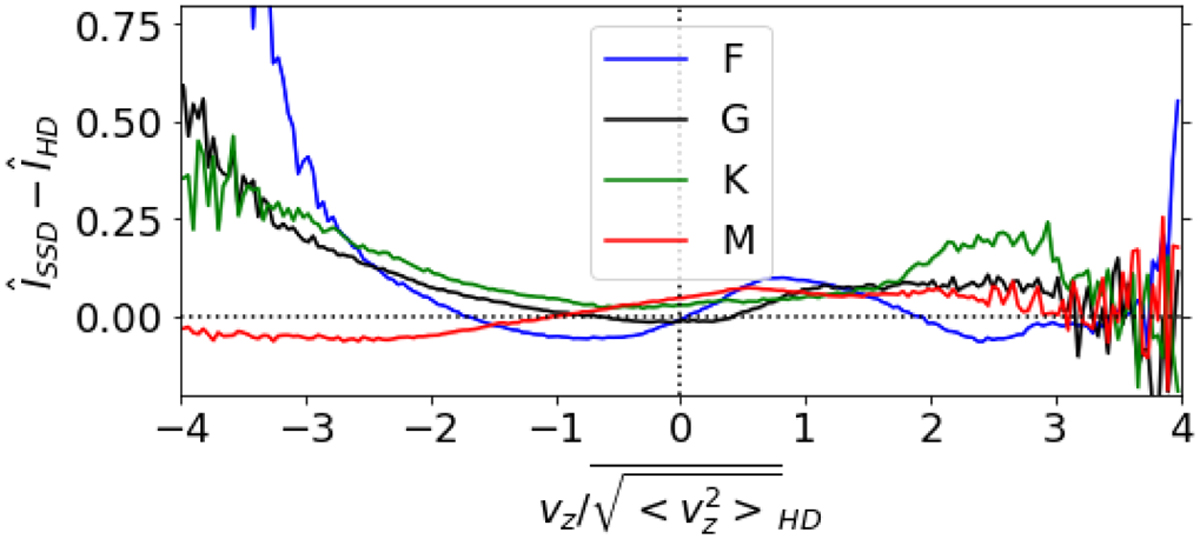
Difference between the SSD and HD cases for the mean normalized intensity Î as a function of normalized vertical velocity υz/(υz,rms)HD at the iso τ = 1 surface. Positive values on the vertical axis mean a higher mean value for the intensity from the SSD case at the corresponding velocity bin. Positive values on the horizontal axis represent upflows.
Current usage metrics show cumulative count of Article Views (full-text article views including HTML views, PDF and ePub downloads, according to the available data) and Abstracts Views on Vision4Press platform.
Data correspond to usage on the plateform after 2015. The current usage metrics is available 48-96 hours after online publication and is updated daily on week days.
Initial download of the metrics may take a while.